Požiadavky na tepelnotechnické vlastnosti stavebných konštrukcií a budov
Požiadavky na tepelnotechnické vlastnosti stavebných konštrukcií a budov sa neustále sprísňujú. Ako tieto požiadavky ovplyvnili a v budúcnosti ovplyvnia hrúbku tepelnej izolácie?
Na Slovensku platí od augusta 2016 Zmena 1 tepelnotechnickej normy STN 73 0540-2, v ktorej sa zmierňujú neprimerané a zbytočne prísne požiadavky najmä na ploché strechy a mierne sa upravujú nároky na obvodové steny, pričom zohľadňuje cieľ európskej smernice, ktorá od roku 2021 počíta s výstavbou budov s takmer nulovou spotrebou energie.
Cieľom týchto požiadaviek je:
- zníženie spotreby energie v budovách min. o 20 % do roku 2020,
- podiel energie z obnoviteľných zdrojov ≥ min. 20 % do roku 2020,
- výstavba všetkých nových budov na území EÚ od 1. 1. 2021 s takmer nulovou spotrebou energie (Európska smernica 2010/31/EU).
Spotreba energie
Z celkovej spotreby energie pripadá 40 % na budovy a z tejto energie vieme ušetriť 78 % výstavbou pasívnych a ultranízkoenergetických budov.
Revidovaná norma (STN 73 0540-2/Z1 z 8/2016) sa vzťahuje na projektovú dokumentáciu, projektové a normalizované hodnotenia energetickej náročnosti budov, kde bolo vydané stavebné povolenie po 1. 1. 2016. Zatiaľ čo sa v doterajšej norme hovorilo len o minimálnych a odporúčaných tepelnotechnických parametroch stavebných konštrukcií obnovovaných budov a novostavieb, aktuálne platná norma upravuje okrem minimálnych a normalizovaných (požadovaných) hodnôt aj záväzok európskej smernice.
Nároky na budovy realizované od 1. 1. 2016 sú v norme označené ako odporúčané a požiadavky na budovy realizované po roku 2020 sú stanovené ako cieľové odporúčané. Po 1. januári 2016 u nás teda z hľadiska tepelnej ochrany budov platia sprísnené požiadavky a normalizovanými sú hodnoty, ktoré platia pre ultranízkoenergetické budovy. Po roku 2020 hodnoty, ktoré v súčasnosti platia v prípade budov s takmer nulovou spotrebou energie.
Projektant je povinný splnenie minimálnych požiadaviek na energetickú hospodárnosť budovy zahrnúť do projektovej dokumentácie na stavebné povolenie alebo na povolenie zmeny stavby. Splnenie minimálnych požiadaviek na energetickú hospodárnosť projektant povinne preukáže projektovým energetickým hodnotením (čo je v zásade energetický certifikát projektu).
Prečo také dramatické sprísňovanie požiadaviek?
Požiadavky normy treba vnímať v širšom kontexte a v súlade so záväzkami Slovenska voči EÚ. V Európe dnes žije 5 % svetovej populácie, pričom na území Európy sa spotrebuje 33 % z celkovej spotreby energie. Dôvodom vysokej spotreby je vysoká materiálna úroveň. Značná časť energie sa do Európy dováža. A stále väčšie percento dovozu pochádza z hospodársky nestabilných regiónov. Nejde však len o čistý vzduch a úspory platieb za energiu, ale aj o strategické, mocenské a hospodárske otázky Európy.
Úspory v budovách sa systémovo riešia v rámci EÚ približne 10 rokov. Pákou na dosahovanie úspor energie na prevádzku budov je platná legislatíva (povoľovanie stavieb, kolaudácie a pod.).
Tepelnotechnická norma STN 73 0540-2/Z1 z 8/2016
Tepelnotechnická norma je záväzná. Povinné sú hodnoty súčiniteľa prechodu tepla U stanovené pre obvodové konštrukcie a hodnoty spotreby tepla.
Norma uvažuje o štyroch obdobiach (do 31. 12. 2012, od 1. 1. 2013, od 1. 1. 2016 a od 1. 1. 2021). Po formálnej stránke platí, že ak nebudú splnené požiadavky normy, nemalo by byť vydané stavebné povolenie. Požiadavky normy na potrebu tepla na vykurovanie vo väčšine prípadov neviete splniť kvalitne zaizolovanou obvodovou konštrukciou budovy (podlaha, stena, strecha, okno). Treba uvažovať o nútenom vetraní (vzduchotechnika s rekuperáciou, teda so spätným získavaním tepla z odpadného vzduchu). Norma je teda nastavená neadekvátne prísne. (Ani v jednom z porovnateľných štátov nie sú také prísne požiadavky.)
Ekonomická efektívnosť
V závislosti od ceny stavebných materiálov, ceny stavebných prác, odmeny za prácu, inflácie, očakávaného cenového vývoja, cien energie a pod. sa na rok 2016 pre Slovensko stanovila optimálna hodnota U pre obvodovú stenu (0,209 W/(m2 . K)) a plochú a šikmú strechu (0,177 W/(m2 . K)). Ak uvedené hodnoty prepočítame na typickú tepelnú izoláciu (biely penový polystyrén s tepelnou vodivosťou 0,04 W/(m . K), potom by sa mala obvodová stena zatepliť tepelnou izoláciou s hrúbkou 193 mm a strecha izoláciou z polystyrénu s hrúbkou 394 mm. Na základe poslednej zmeny normy sa hodnota U upravila pre ploché strechy z 0,10 na 0,15 W/(m2 . K). Po zmene normy sa tak hrúbka polystyrénu v streche znížila na 261 mm.
O čom sa takmer nehovorí
Ak hovoríme o úsporách energie, väčšinou myslíme na hrúbku tepelnej izolácie v stene či v streche. Avšak nielen zateplenie týchto dvoch konštrukcií má vplyv na výsledné množstvo energie spotrebovanej na vykurovanie.
Tepelné mosty
Čím viac sa skvalitňuje tepelnoizolačná obálka budovy, tým negatívnejší vplyv na tepelné straty majú tepelné mosty. Ten istý tepelný most pred zateplením má menší negatívny účinok ako po zateplení. Vplyv tepelných mostov je tak z hľadiska úspor energie zásadný.
Vzduchová priepustnosť obálky budovy
Za bezvetria nepredstavuje silný mráz z hľadiska teplotechniky väčší problém. Ak sa však mráz skombinuje s vetrom, situácia sa podstatne zhorší. Preto musí mať úsporná budova obmedzenú vzduchovú priepustnosť obvodovej konštrukcie. (V obvodovej konštrukcii budovy sa nesmú nachádzať medzery, diery a pod.)
Súvislosti a komplexnosť
Najlepším a najlacnejším riešením býva prevencia, teda v prípade stavebníctva dôkladná príprava a dobrý projekt. V celoživotnom cykle stavby tvorí cena projektu z celkových nákladov 1 %, cena za výstavbu 19 %, zvyšok, teda 80 % nákladov, pripadá na prevádzku budovy vrátane jej recyklácie. Pričom práve od projektu závisí, ako bude budova (dobre či nedobre, lacno či draho) slúžiť.
Dnes sa zatepľujú fasády zateplené pred desiatimi rokmi, keď sa na hrúbke tepelnej izolácie šetrilo. Nepoužila sa tepelná izolácia s potrebnou hrúbkou napr. 180 mm, ale len s hrúbkou 60 mm. Pritom fasádny polystyrén, ktorý má približne 80 % vplyv na tepelnoizolačné vlastnosti budovy, tvorí približne len 10 až 15 % z celkových investičných nákladov na zateplenie fasády. Stavebník si často neuvedomuje, že investičná náročnosť dodatočných opráv bude nakoniec podstatne vyššia ako počiatočná investícia. Je preto nevyhnutné hneď na začiatku použiť dostatočnú hrúbku tepelnej izolácie.
Tepelný odpor
Tepelný odpor je veličina, ktorá pomerne dlhý čas charakterizovala požadovanú tepelnú ochranu stavebných konštrukcií stien, striech a podláh. V nedávnej minulosti sa hlavným ukazovateľom stala pre obvodové ochladzované konštrukcie U hodnota (súčiniteľ prechodu tepla). Avšak tepelný odpor R je natoľko zaužívaná veličina, že sa stále používa. Táto hodnota sa v našich aj zahraničných technických predpisoch posudzuje ako kritérium hodnotenia tepelnoizolačnej vlastnosti konštrukcie. Kvantitatívna hodnota (veľkosť) tejto veličiny sa predpisuje v technickej norme. Označuje sa termínom normalizovaná hodnota tepelného odporu so symbolom RN. Požadované hodnoty tepelných odporov v technických špecifikáciách majú rozličný význam a použitie pri navrhovaní a dimenzovaní stavebných konštrukcií.
STN 73 0540-2: 2012 používa tieto úrovne požadovaných hodnôt tepelných odporov (podľa tabuľky):
- Rmin – minimálna hodnota,
- RN – normalizovaná (požadovaná) hodnota.
Nové budovy musia spĺňať normalizované hodnoty tepelných odporov RN. Normalizované požiadavky musia splniť aj významne obnovované budovy. Ak to nie je funkčne, technicky a ekonomicky uskutočniteľné, musia spĺňať všetky stavebné konštrukcie aspoň minimálne požiadavky na energeticky úsporné budovy, teda hodnotu Rmin.
Pri výstavbe po roku 2015 a 2020 sa používajú tieto úrovne požadovaných tepelných odporov:
- Rr1 – odporúčaná hodnota po 1. 1. 2016,
- Rr2 – cieľová odporúčaná hodnota po 1. 1. 2021.
Pri nových budovách postavených po roku 2016 platia odporúčané hodnoty Rr1 (pre ultranízkoenergetické budovy) ako normalizované (požadované) hodnoty. Po roku 2020 budú platiť cieľové odporúčané hodnoty Rr2 (pre budovy s takmer nulovou spotrebou energie) ako normalizované (požadované) hodnoty.
Hodnoty tepelných odporov konštrukcií sa používajú na deklarovanie vlastností stavebných konštrukcií a výrobkov. Majú sa vypočítať na tri desatinné miesta podľa STN EN ISO 6946.
Stavebná konštrukcia vyhovuje z hľadiska tepelného odporu, ak je vypočítaná hodnota tepelného odporu väčšia, nanajvýš sa rovná požadovanej hodnote RN (R ≥ RN). Keď platí nerovnosť R < RN, konštrukcia nevyhovuje z hľadiska tepelného odporu.
Pri výpočte tepelného odporu niektorých stavebných konštrukcií platia tieto pravidlá:
- tepelný odpor podláh na prírodnom teréne sa stanoví z vrstiev uložených nad hydroizoláciou proti zemnej vlhkosti;
- tepelný odpor konštrukcie s odvetranou vzduchovou vrstvou (napr. odvetraný obvodový plášť, dvojplášťová strešná konštrukcia) sa stanoví z vrstiev nachádzajúcich sa medzi vnútorným povrchom a odvetranou vzduchovou vrstvou;
- pri vnútorných zvislých a vodorovných konštrukciách oddeľujúcich miestnosti rôznych bytov a bytov s nebytovými priestormi s rozdielnym režimom vykurovania a regulácie sa uvažuje minimálny rozdiel teploty vnútorného vzduchu 15 K. Teda deliace vodorovné a zvislé konštrukcie bytov s rozličným vykurovacím režimom sa musia navrhnúť na predpokladaný rozdiel teploty vzduchu do 15 K;
- pri zelených plochých strechách (s vegetačnou vrstvou) sa tepelný odpor vypočíta od vnútorného povrchu po vrstvu hydroizolácie. Vegetačná vrstva sa zanedbáva z hľadiska tepelnoizolačných vlastností.
Tepelný odpor konštrukcie
Tepelný odpor jednovrstvovej konštrukcie je tým väčší, čím väčšia je hrúbka konštrukcie (vrstvy) a čím nižší je súčiniteľ tepelnej vodivosti konštrukcie (vrstvy).
Ak sa vyžaduje určitá hodnota tepelného odporu konštrukcie, jej hrúbka bude tým väčšia, čím vyššia je hodnota súčiniteľa tepelnej vodivosti d = R . λ.
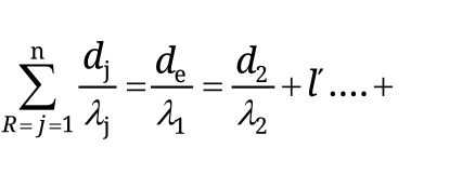
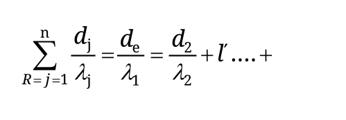
Tepelný odpor viacvrstvových konštrukcií sa stanoví za predpokladu, že vrstvy rôznych látok dokonale priliehajú a sú kolmé na smer tepelného toku. Zaužívalo sa označovanie vrstiev konštrukcie v smere tepelného toku v zimnom období, teda zvnútra smerom von. Takto sa označovali vrstvy v bývalých ČSN a STN. V európskych normách sa pripúšťa aj číslovanie zvonka dovnútra. Preto sa odporúča v tepelnotechnickom výpočte vždy jasne označiť spôsob indexovania vrstiev.
Tepelný odpor viacvrstvovej konštrukcie sa určí súčtom tepelných odporov jednotlivých vrstiev:
![]() |
Čo sa dá napísať aj takto:
![]() |
kde dj je hrúbka jednotlivých vrstiev (m),
λj – súčiniteľ tepelnej vodivosti látok vrstiev vo W/(m . K).
Zavádza sa termín plošná tepelná vodivosť so symbolom Λ, niekedy alternatívne aj plošná tepelná priepustnosť (vrstvy, konštrukcie). Má fyzikálny rozmer vo W/(m2 . K). Predstavuje hodnotu výrazu:
![]() |
Z uvedeného vyplýva, že tepelný odpor viacvrstvovej konštrukcie sa určí zo súčtu tepelných odporov vrstiev a nezávisí od toho, ako sú vrstvy jednotlivých látok za sebou uložené, pretože ich výsledný odpor je vždy rovnaký. Každá konštrukcia však má okrem tepelnej izolácie spĺňať aj iné požiadavky (má akumulovať teplo, nemá v nej kondenzovať vodná para a pod.), ktoré už závisia od poradia vrstiev v konštrukcii.
Tab. 1 Prehľad hodnôt tepelných odporov
![]() |
Súčiniteľ tepelnej vodivosti λ predstavuje dôležité kritérium porovnávania kvality tepelných izolácií. Udáva, ako jednotlivé materiály vedú teplo. Čím je jeho hodnota nižšia, tým je kvalita tepelnej izolácie vyššia a teplo cez materiál uniká pomalšie.
Nesprávna hrúbka tepelnej izolácie
Štandardom v prípade zateplenia obvodových stien sa v našich podmienkach stala izolácia s hrúbkou 80 až 100 mm a pri podkroví izolácia s hrúbkou 200 až 250 mm. Tieto hrúbky sú však z hľadiska novej normy nedostatočné. Sprísnenie požiadaviek na izolačné vlastnosti budov prináša na jednej strane zníženie energetickej náročnosti stavieb a tepelných strát (čím nižšie tepelné straty totiž budova má, tým väčšia je jeho energetická úspornosť a nižšie náklady na prevádzku) a na druhej strane lepší komfort života. Nedostatočná hrúbka tepelnej izolácie totiž nie je problémom iba v zime, keď sa dá redukovať dodatočným vykurovaním priestoru, ale predovšetkým v letných mesiacoch, počas ktorých sa podkrovné priestory s izoláciou hrubou 200 až 250 mm výrazne prehrievajú. Hrubšia tepelná izolácia sa teda postará nielen o nižšie náklady, ale predovšetkým o príjemnú a celoročne stálu klímu.
Tab. 2 Energetické kritériá pre rôzne energetické úrovne výstavby
Od 8/2016 v STN 73 0540-2/Z1 platí:
– plochá strecha – U ≤ 0,15 W/(m2 . K), čo je R = 6,5 (m2 . K)/W
– obvodová stena – U ≤ 0,22 W/(m2 . K)
Vysvetlivky: Nízkoenergetická budova: budova, ktorej potreba tepla na vykurovanie je aspoň o 50 % menšia, ako má bežná budova existujúceho fondu budov (postavená po 1983).
Ultranízkoenergetická budova: budova navrhnutá tak, aby maximálna potreba tepla na vykurovanie ovplyvnená tepelnotechnickými vlastnosťami stavebných konštrukcií nebola vyššia ako 50 % potreby tepla na vykurovanie určenej pre nízkoenergetické budovy.
Tab. 3 Príklad použitia tepelných izolácií Isover
Norma v praxi
Najprísnejšie kritériá v rámci nových požiadaviek sa viažu na ploché a šikmé strechy so sklonom ≤ 45°. Práve strecha je totiž považovaná za najkritickejšiu konštrukciu domu, cez ktorú spolu s obvodovými stenami uniká 60 až 70 % tepla. Hodnota tepelného odporu R sa v prípade týchto typov striech zvyšuje z 4,9 (m2 . K)/W na 6,5 (m2 . K)/W. Ak si aktuálne staviate dom, mali by ste preto pri jeho navrhovaní počítať už s odporúčanými hodnotami. Rodinný dom nie je krátkodobá investícia, a preto je vhodné investovať už teraz, ako sa neskôr púšťať do ďalšej rekonštrukcie, čím sa navýšia náklady. Pri zatepľovaní sa v takomto prípade mení iba hrúbka izolácie, ktorá prináša vyššie náklady. Ostatné komponenty zostávajú nezmenené.
Ilustračné foto: Isover
Článok bol uverejnený v časopise Stavebné materiály 2/2017.















