Prevádzkové hodnotenie kotlov na biomasu
Energetická hospodárnosť budov sa hodnotí v zmysle zákona č. 555/2005 Z. z. o energetickej hospodárnosti budov a vyhlášky MVRR SR č. 311/2009 Z. z. o podrobnostiach výpočtu energetickej hospodárnosti budov a obsahu energetického certifikátu. Na výpočet hospodárnosti sa používa hodnotenie projektové, normalizované alebo prevádzkové, ktorým sa každému miestu spotreby energie a nosiču v budove určuje celková dodaná energia.
Systém výroby tepla na vykurovanie budov a ohrev teplej vody sa z hľadiska energetickej hospodárnosti zdrojov tepla hodnotí podľa metodík odporučených v STN EN 15316-4-1 až 4-7 podľa druhu spaľovacích zariadení. Pri každom druhu spaľovacieho zariadenia sa vypočíta tepelná účinnosť zdroja a tepelné straty podľa druhu tepelného zaťaženia a konkrétnych hodnôt teploty vody v kotloch, ktoré sú podkladom na výpočet tzv. sezónnej účinnosti.Normalizované hodnotenie a energetické požiadavky na kotly spaľujúce biomasu na stanovenie účinností a tepelných strát pri výrobe tepelnej energie na vykurovanie a ohrev teplej vody v budovách, ako aj metodika ich výpočtu sú odporučené v STN EN 15316-4-7: 2009 (Vykurovacie systémy v budovách. Metóda výpočtu energetických požiadaviek a účinností systému. Časť 4-7: Systémy so spaľovacími zariadeniami, systémy spaľovania biomasy).
Prevádzkové hodnotenie je podľa vyhlášky MVRR SR č. 311/2009 Z. z. z 13. júla 2009 definované ako určovanie skutočnej spotreby energie v budove meraním podľa § 2 ods. 6 zákona. Vykonáva sa podľa zákona č. 17/2007 Z. z. z 13. decembra 2006 a STN EN 15378.
Pravidelná kontrola kotlov
Pravidelnú kontrolu kotlov a prevádzkové hodnotenie zdrojov tepla nariaďuje zákon č. 17/2007 Z. z. z 13. decembra 2006, ktorý je aproximáciou európskych smerníc.
Princípom overenia hospodárnosti zdrojov tepla je certifikácia prevádzkovej energetickej účinnosti kotlov na základe merania tepelných strát pri spaľovacom procese a spotreby paliva, ktoré sú podkladom na určenie skutočnej energetickej bilancie a energetickej účinnosti tepelného zariadenia a na stanovenie ukazovateľa energetickej hospodárnosti zariadenia na výrobu tepla.
V zákone sú definované:
- postupy a intervaly pravidelnej kontroly kotlov, vykurovacích sústav, klimatizačných systémov v nevýrobných budovách;
- odborná spôsobilosť na výkon pravidelnej kontroly zariadení podľa tohto zákona.
Pravidelná energetická kontrola sa vzťahuje na:
- kotly v nevýrobných budovách, ktorých menovitý tepelný výkon je 20 kW a viac a sú určené na vykurovanie priestorov a prípravu teplej vody, pričom spaľujú tieto palivá – fosílne tuhé palivo, fosílne tekuté palivo, biomasu, bioplyn;
- vykurovacie sústavy v nevýrobných budovách, ktorých časťou je kotol s menovitým výkonom od 20 kW vrátane, starší ako 15 rokov;
- klimatizačné systémy s merným výkonom od 12 kW vrátane, umiestnené v nevýrobných budovách.
Zákon sa nevzťahuje na:
- kotly umiestnené vo výrobných a nevýrobných budovách, pri ktorých sa pravidelne zabezpečuje overenie hospodárnosti prevádzky sústavy tepelných zariadení po odberné miesta (§ 25 ods. 2 písm. c zákona č. 657/2004 Z. z. o tepelnej energetike);
- kotly určené na vykurovanie priestorov a prípravu teplej vody v budovách podľa osobitného predpisu (§ 2 ods. 1 zákona č. 555/2005 Z. z.), ako sú:
– budovy a pamätníky chránené z dôvodu architektonickej alebo historickej hodnoty;
– kostoly a iné budovy používané ako miesta na služby alebo na náboženské podujatia;
– budovy, ktoré sú dočasnými stavbami s plánovaným časom užívania kratším ako dva roky;
– priemyselné stavby, dielne a nebytové poľnohospodárske budovy s nízkou spotrebou energie;
– bytové budovy, ktoré sú určené na užívanie menej ako štyri mesiace v roku;
– samostatne stojace budovy, ktorých úžitková plocha je menšia ako 50 m2.
Postup prevádzkového hodnotenia
Pravidelná kontrola kotlov sa vykonáva podľa STN EN 15378 (tab.). V tejto európskej norme sa špecifikujú kontrolné postupy a voliteľné meracie metódy na posudzovanie tepelnej účinnosti existujúcich kotlov a vykurovacích systémov.
Typy kotlov, ktoré zahŕňa táto európska norma, sú:
- kotly na vykurovanie a prípravu teplej vody;
- kotly spaľujúce plynné, kvapalné alebo tuhé palivo.
Časti vykurovacích systémov zahrnuté v tejto európskej norme sú:
- kotly vrátane regulácie;
- iné výrobníky, resp. generátory tepla;
- systémy na výrobu teplej vody;
- distribučné siete tepla vrátane pridružených komponentov a regulácie;
- emitory (koncové prvky odovzdávania tepla, výhrevné plochy) vrátane komponentov a ovládačov;
- regulácia vykurovania vnútorného priestoru;
- akumulátory a príslušné komponenty;
- regulácia teplej úžitkovej vody.
Postupy a metódy pravidelnej kontroly kotlov sú určené na:
- overenie, či kotol je nastavený, prevádzkovaný a udržiavaný správne s ohľadom na energetickú účinnosť;
- odhadnutie aktuálnej energetickej účinnosti kotla;
- predloženie návrhov na možné zlepšenia energetickej účinnosti kotla, ak je to potrebné.
Postup kontroly kotlov sa zameriava a musí obsahovať:
- identifikáciu kontrolnej triedy kotla;identifikáciu kotla;
- zhromažďovanie dokumentov;
- vizuálnu kontrolu kotla;
- stav údržby kotla;
- údaje o meradlách;
- hodnotenie výkonu kotla.
Identifikácia kontrolnej triedy
kotla
Každý kotol musí byť zaradený do kontrolnej triedy a špecifikovaný podľa jedného alebo viacerých parametrov. Štandardné kontrolné triedy kotlov sú založené na:
- druhu spaľovaného paliva;
- maximálnom menovitom príkone kotla.
Identifikácia kotla
Musí obsahovať informácie o používateľovi, budove (adresa, umiestnenie) a zaznamená sa tak, ako je to špecifikované v tabuľke. V správe musí byť uvedený zdroj zaznamenaných informácií.
Zhromažďovanie dokumentov
Na správnu a úspešnú kontrolu kotlov a prevádzkové hodnotenie sú potrebné všetky dostupné dokumenty, technické údaje, parametre kotla a vykurovacej sústavy. Zvyčajne sú týmito dokumentmi opisy kotlov a vykurovacej sústavy, údaje o uvedení do prevádzky, postup prevádzkovania kotla, údaje o obsluhe a údržbe, správy o údržbe, prevádzkové denníky, palivové výkazy o spotrebe paliva, dokumentácia návrhu vykurovacej sústavy, schematické funkčné zapojenia kotlov a vykurovacieho systému.
Vizuálna kontrola kotla
Počas vizuálnej kontroly sa musí skontrolovať celá konštrukcia kotla, ako aj jeho súčasti, ktoré sú uvedené v norme:
- únik paliva, spalín alebo vykurovacieho média v miestnosti, kde je namontovaný kotol;
- poškodenia izolácie kotla;
- hrdza alebo iné znečistenie horáka, spaľovacej komory a/alebo tepelného výmenníka.
V správe sa uvedie každý takýto viditeľný znak.
Stav údržby kotla
Stavom údržby sa určí, či sa kotol pravidelne a správne udržiava kvalifikovanými a/alebo autorizovanými pracovníkmi.
Zameriava sa na:
- systémové inštrukcie konštruktéra;
- inštrukcie výrobcu kotla;
- kvalitu teplonosnej látky;
- akékoľvek právne alebo zákonné požiadavky.
Kontrolou funkčnosti kotla sa zistí, či je kotol schopný zabezpečovať požadovanú prevádzku. Akékoľvek funkčné poruchy sa uvedú v správe, kde sa zaznamenajú aj dôležité spätné väzby od užívateľov, správcu zariadenia, prevádzkových a údržbárskych pracovníkov.
Údaje o meradlách
Odčítajú sa dostupné meradlá a počítadlá ako:
- meradlo paliva, pričom sa sleduje, či sa to isté meradlo používa aj na iné účely;
- hladina paliva v zásobníku;
- počítadlo prevádzkových hodín;
- akékoľvek merače pomocnej energie;
- vodomer pitnej studenej vody;
- meradlo teplej vody;
- počítadlo cyklu horáka;
- merač tepla;
- záznamové hodnoty v správe.
Ak nie je meradlo paliva, mal by byť daný návrh na inštaláciu jednoduchého zariadenia (počítadla prevádzkových hodín) na podporu spoľahlivého sledovania spotreby paliva.
Hodnotenie výkonu kotla
Kontrola správneho nastavenia a skutočného výkonu kotla má zahŕňať:
- kontrolu menovitého tepelného zaťaženia kotla;
- kontrolu spotreby energie a paliva;
- kontrolu efektívnosti spaľovania a základných nastavení kotla;
- inú kontrolu strát kotla (napríklad straty sálaním a odvedením tepla, celkové pohotovostné straty);
- kontrolu sezónnej účinnosti kotla;
- kontrolu nastavenia ovládania armatúr a riadiacich prvkov;
- kontrolu správnosti dimenzovania kotla.
Kontrola analýzy spalín a nastavenia kotla
Analýza dymových spalín sa realizuje analyzátormi dymových spalín, pomocou ktorých sa získané hodnoty prepočítavajú tak, aby sa určili tepelné straty a vypočítala sa účinnosť kotlov. Výpočet musí zodpovedať účinnosti garantovanej výrobcom uvedenej na štítku kotla.
Zhotovovateľ kotolne a zdrojov tepla musí zabezpečiť, aby sa emisie dali merať najbližšie za poslednou teplovýmennou plochou, teda v telese sopúcha pri tuhých palivách alebo v dymovodoch prieduchu pri kvapalných a plynných palivách. Vzorky sa odoberajú zo stredu prúdu alebo v mieste s najnižšou koncentráciou O2 v tesnom otvore, najmenej trikrát po sebe s časovým odstupom. Meranie vlastností odvádzaných spalín vzniknutých pri spaľovacom procese sa vykonáva analyzátormi dymových plynov, ktoré musia vyhovovať požiadavkám EN 50379.
Pred odčítaním a zaznamenaním meraných hodnôt teploty spalín θfg musí operátor zohľadniť čas ustálenia a odozvy prístroja. Teplota spaľovacieho vzduchu θair sa musí merať na vstupe do horáka, v mieste zmiešania paliva so vzduchom. V prípade, že sa spaľovací vzduch predhrieva, teplota spalín a teplota spaľovacieho vzduchu sa musia merať medzi kotlom a rekuperátorom tepla. Odporúča sa nepretržité meranie teploty spalín a vstupného spaľovacieho vzduchu.
Základné vlastnosti spalín získané meraním sú nasledovné:
- θfg – teplota spalín (°C);
- X02, fg, dry – obsah kyslíka v suchých spalinách (%);
- XCO,fg,dry – obsah spalín (ppm);
- θair – teplota spaľovacieho vzduchu (musí sa merať na vstupe do horáka) (°C).
Teplota teplonosnej látky (voda, para) v kotle sa môže odčítať na teplomere osadenom na kotle alebo na výstupnom potrubí z kotla, ak je dostupné.
Účinnosť spaľovacieho procesu
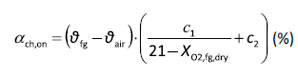
Celkové tepelné straty označené ako αch,on (tepelné straty cez komín pri zapnutom horáku) sa musia vyrátať z vlastností nameraných podľa uvedeného postupu pri meraní spalín a príslušnej národnej normy alebo metódy špecifikovanej v EN 50379. Celkové tepelné straty sa matematicky definujú ako:
kde c1 a c2 sú obsahy dané národnými prílohami, v závislosti od paliva,
θfg – teplota spalín (°C),
X02, fg, dry – obsah kyslíka v suchých spalinách (%),
XCO,fg,dry – obsah spalín (ppm),
θair – teplota spaľovacieho vzduchu (musí sa merať na vstupe do horáka) (°C).
Účinnosť spaľovania ηcmb je daná:
ηcmb = 100 – αch,on (%)
Prevádzkovatelia, ktorí vyrábajú, distribuujú alebo predávajú teplo, sú povinní viesť prevádzkovú evidenciu, zabezpečovať potrebnú kvalitu a poskytovať štátnym inštitúciám údaje, ako aj umožniť meranie zdrojov znečistenia. V prípade nových zdrojov alebo modernizácie treba vyberať zdroje najnovších generácií, pričom sa zohľadňuje environmentálne, investičné a prevádzkové hľadisko.
Prevádzkovanie stredných a veľkých zdrojov znečisťovania ovzdušia sa musí riadiť podľa predloženej dokumentácie a podľa schválených vykonávacích predpisov na ochranu ovzdušia. Povinnosťou je dodržiavanie emisných limitov, pričom pri prekročení medzných hodnôt sú prevádzkovatelia povinní o tom informovať inšpekciu životného prostredia a následne vypracovať súbor technicko-prevádzkových parametrov a technicko-organizačných opatrení na zabezpečenie ochrany ovzdušia, ako aj odstránenie havarijných stavov.
Záver
Z predchádzajúceho vyplýva, že energetická efektívnosť a tým aj celková hospodárnosť budovy má environmentálny a ekonomický dosah.
Legislatíva Európskej únie, ktorá je priblížená v úvodných kapitolách, sa zaviedla aj na úrovni členských krajín, keďže sa zistilo, že na úrovni spoločenstva približne 40 % primárnej energie spotrebúvajú stavby na vykurovanie a prípravu teplej vody. Európska únia si dala za úlohu toto astronomické číslo a produkciu skleníkových plynov razantne znížiť, a to veľmi ambicióznym plánom, ktorý sa nachádza v smernici 2008/0223 (COD). Podľa nej by sa do roku 2020 mali spotreba primárnej energie a emisie CO2 znížiť o 20 %. Preto vzniká potreba čo najpodrobnejšie určovať účinnosť a energetickú efektivitu zdrojov tepla, ako aj vykurovacích sústav.
TEXT: Ing. Kamila Malinová, doc. Ing. Otília Lulkovičová, PhD.
FOTO: HERZ
Príspevok je súčasťou riešenia grantového projektu VEGA – č. 1/0511/11.
Ing. Kamila Malinová pôsobí na Katedre technických zariadení budov Stavebnej fakulty STU v Bratislave.
Doc. Ing. Otília Lulkovičová, PhD., je vedúcou Katedry technických zariadení budov Stavebnej fakulty STU v Bratislave.
Literatúra
1. Smernica č. 2002/91/ES Európskeho parlamentu a Rady zo 16. decembra 2002 o energetickej hospodárnosti budov.
2. Smernica č. 2008/0223 (COD) Európskeho parlamentu a Rady z 13. novembra 2008 o energetickej hospodárnosti budov.
3. Zákon č.555/2005 Z. z. o energetickej hospodárnosti budov a o zmene a doplnení niektorých zákonov.
4. Zákon č. 476/2008 Z. z. o efektívnosti pri používaní energie (zákon o energetickej efektívnosti) a o zmene a doplnení zákona č. 555/2005 Z. z. o energetickej hospodárnosti budov a o zmene a doplnení niektorých zákonov v znení zákona č. 17/2007 Z. z.
5. Smernica Európskeho parlamentu a Rady 2006/32/ES z 5. apríla 2006 o energetickej účinnosti konečného využitia energie a energetických službách, a ktorou sa zrušuje smernica Rady 93/76/EHS.
6. Zákon NR SR č. 17/2007 Z. z. z 13.decembra 2006 o pravidelnej kontrole kotlov, vykurovacích sústav a klimatizačných systémov a o zmene a doplnení niektorých zákonov.
7. Vyhláška MH SR č. 548/2008 Z. z., ktorou sa ustanovuje postup pri pravidelnej kontrole kotlov, pri individuálnej špeciálnej kontrole vykurovacej sústavy a pri pravidelnej kontrole klimatizačných systémov.
8. Vyhláška č. 410/2003 Z. z., ktorou sa mení a dopĺňa vyhláška MŽP SR č. 706/2002 Z. z. o zdrojoch znečisťovania ovzdušia, o emisných limitoch, o technických požiadavkách a všeobecných podmienkach prevádzkovania, o zozname znečisťujúcich látok, o kategorizácii zdrojov znečisťovania ovzdušia a o požiadavkách zabezpečenia rozptylu emisií znečisťujúcich látok.
9. STN EN 15378: 2008: Vykurovacie systémy v budovách. Kontrola kotlov a vykurovacích systémov.
Článok bol uverejnený v časopise Správa budov.






