Interiérové tepelne aktívne panely s integrovanou aktívnou plochou, II. časť
ITAP panely – interiérové tepelne aktívne panely s integrovanou aktívnou plochou – inovatívnym spôsobom spájajú existujúce stavebné a energetické systémy do jedného kompaktného celku, čím vytvárajú kombinované stavebno-energetické systémy. Zároveň predstavujú stavebné konštrukcie s vnútorným zdrojom energie.
Pri riešení výskumných otázok sme zvolili metódu parametrickej štúdie. Vytvoril sa matematicko-fyzikálny model obvodovej steny s ITAP panelom a uskutočnili sa stacionárne (časovo ustálené) parametrické štúdie, pri ktorých sa menili: hrúbka tepelnej izolácie (ITAP panelu), rozstup a dimenzia rúrok, teplotný spád teplonosnej látky, teplota v interiéri a v exteriéri, resp. v susednej miestnosti. Všetky tieto parametrické štúdie sa uskutočnili pri okrajových podmienkach predstavujúcich zimné aj letné obdobie [1], [5], [6], [7], [8].
Neprehliadnite
Interiérové tepelne aktívne panely s integrovanou aktívnou plochou, I. časť
Teória výpočtu veľkoplošného sálavého vykurovania
Pri výpočte sálavej vykurovacej plochy sa vychádza z predpokladu, že priemerná povrchová teplota sálavej vykurovacej plochy neprekročí hygienicky prípustné hodnoty, pričom tepelný výkon sálavej vykurovacej plochy bude kryť tepelné straty vykurovaného priestoru. Pri modifikovanom výpočte pre sálavé teplovodné vykurovanie [2], [3], [4] platí:
Tepelná priepustnosť vrstvy nad/pred rúrkami La sa počíta ako
kde: a je hrúbka vrstvy nad/pred rúrkami (m),
λa – súčiniteľ tepelnej vodivosti materiálu príslušnej vrstvy (W/(m2 . K)),
hp – súčiniteľ prestupu tepla (W/(m2 . K)).
Tepelná priepustnosť vrstvy pod/za rúrkami Λb sa počíta ako
kde: b je hrúbka vrstvy pod/za rúrkami (m),
λb – súčiniteľ tepelnej vodivosti materiálu príslušnej vrstvy (W/(m2 . K)),
hp – súčiniteľ prestupu tepla (W/(m2 . K)).
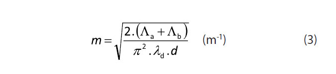
Súčiniteľ m charakterizujúci vykurovaciu dosku z hľadiska šírenia tepla sa počíta ako
kde: La je tepelná priepustnosť vrstvy nad/pred rúrkami (W/(m2 . K)),
LB – tepelná priepustnosť vrstvy pod/za rúrkami (W/(m2 . K)),
λd – tepelná vodivosť materiálu vrstvy, do ktorého sú vložené rúrky (W/(m2 . K)),
d – priemer rúrok (m).
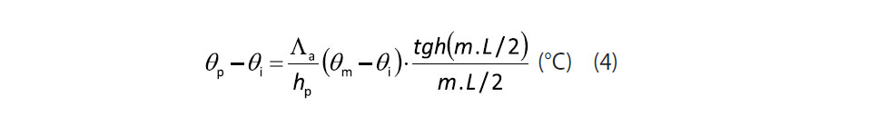
Povrchová teplota vykurovacej plochy θp sa počíta ako
kde: La je tepelná priepustnosť vrstvy nad/pred rúrkami (W/(m2 . K)),
hp – súčiniteľ prestupu tepla (W/(m2 . K)),
θm – priemerná teplota vykurovacej vody (°C),
L – osová vzdialenosť rúrok (m),
m – súčiniteľ charakterizujúci vykurovaciu dosku z hľadiska šírenia tepla (m-1),
θi – výpočtová vnútorná teplota v miestnosti (°C).
Merný tepelný výkon vykurovacej plochy smerom hore (q) sa počíta ako
kde: hp je súčiniteľ prestupu tepla z podlahy smerom hore (W/(m2 . K)),
θp – povrchová teplota podlahy (°C),
θi – výpočtová vnútorná teplota v miestnosti (°C).
Merný tepelný výkon vykurovacej plochy smerom dole (q´) sa počíta ako
kde: Lb je tepelná priepustnosť vrstvy pod rúrkami (W/(m2 . K)),
La – tepelná priepustnosť vrstvy nad rúrkami (W/(m2 . K)),
q – merný tepelný výkon podlahovej vykurovacej plochy smerom hore (W/m2).
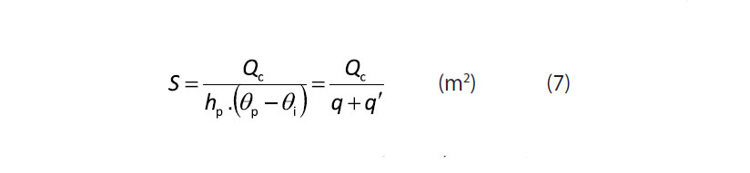
Vykurovacia plocha S sa počíta ako
kde: q je tepelný výkon vykurovacej plochy smerom do interiéru (W/m2),
q – tepelný výkon vykurovacej plochy smerom do exteriéru (W/m2),
hp – súčiniteľ prestupu tepla z podlahy smerom hore (W/(m2 . K)),
θp – povrchová teplota podlahy (°C),
θi – výpočtová vnútorná teplota v miestnosti (°C).
Tepelný výkon vykurovacej plochy Qs sa počíta ako
kde: q je tepelný výkon vykurovacej plochy smerom do interiéru (W/m2),
q´ – tepelný výkon vykurovacej plochy smerom do exteriéru (W/m2),
Sp – vykurovacia plocha (m2).
Matematicko-fyzikálny model
Ako základ pre parametrickú štúdiu sa vyhotovil matematicko-fyzikálny model pre podomietkové veľkoplošné vykurovanie (obr. 1, 2) a matematicko-fyzikálny model pre ITAP panely (obr. 2, 3). Na týchto modeloch vidieť farebne odlíšené materiály, z ktorých sa skladajú charakteristické fragmenty obvodovej steny a vnútornej steny s podomietkovým energetickým systémom a ITAP panelmi. Jednotlivým materiálom sa priradili tieto materiálové charakteristiky: d – hrúbka (m), ρ – objemová hmotnosť (kg/m3), λ – súčiniteľ tepelnej vodivosti (W/(m . K)) a c – merná tepelná kapacita (J/(kg . K)) [1], [2], [3], [4], [5], [6], [7], [8].
Obr. 1 Matematicko-fyzikálny model podomietkového veľkoplošného vykurovania na obvodovej stene a jednotlivé materiálové charakteristiky podľa STN 73 0540 – 3 (Zdroj: autor – Kalús, D.)
Obr. 2 Matematicko-fyzikálny model podomietkového veľkoplošného vykurovania na vnútornej stene a jednotlivé materiálové charakteristiky podľa STN 73 0540 – 3 (Zdroj: autor – Kalús, D.)
Parametrická štúdia
Parametrická štúdia pre matematicko-fyzikálny model fragmentu obvodovej a vnútornej steny s ITAP panelmi (obr. 3, 4) sa uskutočnila na matematickom konfigurátore Výpočet veľkoplošného sálavého vykurovania (VVSV) v MS Exceli (autor – Kalús, D.). Vstupné údaje, ktoré možno meniť, sú: hrúbka tepelnej izolácie (ITAP panelu), rozstup a dimenzia rúrok, teplotný spád teplonosnej látky a teplota v interiéri a exteriéri, resp. v susednej miestnosti, skladby a hrúbky stavebných konštrukcií pred/nad a za/pod rúrkami a tepelno-technické vlastnosti stavebných materiálov (tepelná vodivosť materiálov, súčiniteľ prestupu tepla). Parametrické výpočty sa uskutočnili pri okrajových podmienkach predstavujúcich zimné (θe = -11 °C) a letné obdobie (θe = +32 °C).
Obr. 3 Matematicko-fyzikálny model obvodovej steny s ITAP panelmi a jednotlivé materiálové charakteristiky podľa STN 73 0540 – 3 (Zdroj: autor – Kalús, D.)
Obr. 4 Matematicko-fyzikálny model vnútornej steny s ITAP panelmi a jednotlivé materiálové charakteristiky podľa STN 73 0540 – 3 (Zdroj: autor – Kalús, D.)
V tab. 1 sú uvedené vstupné kritériá parametrickej štúdie obvodovej steny s ITAP panelmi vo vykurovacom období. Sú to: hrúbka tepelnej izolácie 50 mm, dimenzia rúrok 15 mm, interiérová teplota +20 °C, exteriérová teplota -11 °C, stredná teplota teplonosnej látky +35 °C a rozstup rúrok 100 mm. Pomocou matematického konfigurátora sa vypočítali tieto parametre stenového veľkoplošného vykurovania s ITAP panelmi na obvodovej stene (výsledky sú uvedené v tab. 1):
- tepelný tok do interiéru 99,685 W/m2,
- tepelný tok do exteriéru 4,282 W/m2,
- celkový tepelný tok 103,967 W/m2,
- celkové straty tepelného toku 4,12 %,
- povrchová teplota 30,310 °C.
![]() |
![]() |
![]() |
V tab. 2 sú uvedené vstupné kritériá parametrickej štúdie obvodovej steny s ITAP panelmi v letnom období. Sú to: hrúbka tepelnej izolácie 50 mm, dimenzia rúrok 15 mm, interiérová teplota +26 °C, exteriérová teplota +32 °C, stredná teplota teplonosnej látky +17 °C a rozstup rúrok 100 mm. Pomocou matematického konfigurátora sa vypočítali tieto parametre stenového veľkoplošného chladenia s ITAP panelmi na obvodovej stene (výsledky sú uvedené v tab. 2):
- tepelný tok do interiéru -59,811 W/m2,
- tepelný tok do exteriéru -1,318 W/m2,
- celkový tepelný tok -61,129 W/m2,
- celkové straty tepelného toku 2,16 %,
- povrchová teplota 19,814 °C.
![]() |
![]() |
![]() |
V tab. 3 je uvedená závislosť merného tepelného výkonu ITAP panelov qcelkom (W/m2) od strednej teploty teplonosnej látky (°C) a rozstupu rúrok L (mm).
TEXT: doc. Ing. Daniel Kalús, PhD.
Recenzoval: prof. Ing. Dušan Petráš, PhD.
Autor pôsobí na Katedre TZB Stavebnej fakulty STU v Bratislave.
Literatúra
- Preklad európskeho patentového spisu EP 2 572 057 B1. Tepelnoizolačný panel pre systémy s aktívnym riadením prechodu tepla. Pôvodca: doc. Ing. Daniel Kalús, PhD. Dátum vydania európskeho patentového spisu: 15. 10. 2014. Dátum sprístupnenia prekladu patentového spisu verejnosti: 2. 10. 2015. Vydal: Úrad priemyselného vlastníctva Slovenskej republiky, Banská Bystrica, 2015, číslo dokumentu E 18881.
- Petráš, D. – Kalús, D. – Koudelková, D.: Vykurovacie sústavy, cvičenie a ateliérová tvorba. Bratislava: STU, 2012, 298 s.
- Petráš, D. a kol.: Obnoviteľné zdroje energie pre nízkoteplotné systémy. Bratislava: JAGA Group, 2009, 224 s.
- Bugáň, J. – Petráš, D.: Stropný vykurovací systém v administratívnej budove, www.asb.sk.
- Cvíčela, M.: Analýza stenových energetických systémov. Dizertačná práca. STU v Bratislave, Stavebná fakulta, Slovenská republika 2011, 119 s.
- Janík, P.: Optimalizácia energetických systémov s dlhodobou akumuláciou tepla. Dizertačná práca. STU v Bratislave, Stavebná fakulta, Slovenská republika 2013, 185 s.
- Šimko, M.: Analýza a využitie obnoviteľných zdrojov energie pri aplikácii aktívnej tepelnej ochrany pri rekonštrukciách obytných budov. Písomná časť dizertačnej skúšky. STU v Bratislave, Stavebná fakulta, Slovenská republika 2014, 88 s.
- Šimko, M.: Výskum stenového energetického systému s aktívnou tepelnou ochranou. In: JUNIORSTAV 2016. Sborník přednášek. Brno, ČR, 2016. Brno: Technická Univerzita v Brne, Stavební fakulta, 2016, 9 s.
- Zhu, Q. –Xu, X. – Gao, J. – Xiao, F: A semi – Dynamic simplified therm model of active pipe-embedded building envelope based on frequency finite difference method. In: International Journal of Thermal Sciences, 2015 – Elsevier, Vol. 88, p. 170 – 179, 2015.
- Krzaczeka, M. – Kowalczuk, Z.: Thermal Barrier as a technique of indirect heating and cooling for residential buildings. In: An international journal devoted to investigations of energy use and efficiency in buildings – Energy and Buildings, 2011 – Elsevier, Vol. 43, p. 823-837, 2011.
- Kalús, D.: Energetické systémy pre domy s takmer nulovou spotrebou energie. In: Letní škola TZB 2010: 8. letní škola katedry TZB ČVUT. Sborník přednášek. Český Šternberk, ČR, 2010. Praha: Společnost pro techniku prostředí, 2010, s. 31 – 34.
- Kalús, D. – Cvíčela, M: Stenové energetické systémy vhodné pre aplikáciu v pasívnych domoch, www.casopisstavebnictvi.cz, 2010.
- STN 73 0540-1 Tepelnotechnické vlastnosti stavebných konštrukcií a budov. Tepelná ochrana budov. Časť 1: Terminológia. SÚTN, 2002.
- STN 73 0540-2 Tepelnotechnické vlastnosti stavebných konštrukcií a budov. Tepelná ochrana budov. Časť 2: Funkčné požiadavky, SÚTN, 2002.
- STN 73 0540-3 Tepelnotechnické vlastnosti stavebných konštrukcií a budov. Tepelná ochrana budov. Časť 3: Vlastnosti materiálov a konštrukcií. SÚTN, 2002.
- STN 73 0540-4 Tepelnotechnické vlastnosti stavebných konštrukcií a budov. Tepelná ochrana budov. Časť 4: Výpočtové metódy. SÚTN, 2002.
- STN 06 0892 Ústredné sálavé vykurovanie so zabetónovanými rúrkami.
- www.wolfsr.sk
- www.po.opole.pl. TU v Opole (2013)
- http://www.eng.pw.edu.pl. TU vo Varšave (2013)
- http://www.stavebne-forum.sk/sk/article/18284/
- ISOMAX. http://www.isomax.sk





























