Energetická účinnosť systémov rozvodu tepla
Je veľmi dôležité navrhnúť rozvody hospodárne a primerane ich zaizolovať. Straty v systéme rozvodu tepla vznikajú vplyvom prechodu tepla cez potrubia do okolitého priestoru, tento podsystém však zahŕňa aj elektrickú energiu potrebnú na pohon obehových čerpadiel (vykurovanie), resp. cirkulačných čerpadiel (príprava teplej vody). V prípade, ak je úroveň izolácie rozvodov vysoká, resp. rozvody nie sú príliš dlhé, môže energia na pokrytie strát tvoriť len zanedbateľnú zložku energetickej bilancie.
Ak sú však rozvody pomerne dlhé, resp. úroveň izolácie je nízka, môže mať tepelná strata z rozvodov významný negatívny vplyv na energetickú hospodárnosť budovy. Napríklad pri zle izolovanom systéme rozvodu teplej vody s cirkuláciou môžu tieto straty tvoriť v energetickej bilancii väčšiu položku, ako je samotná potreba tepla na ohrev teplej vody. Článok opisuje princíp výpočtu tepelných strát z rozvodov prechodom, ako aj výpočet energie potrebnej na pohon obehových (cirkulačných) čerpadiel. Hoci elektrická energia pre čerpadlá v energetickej bilancii často nehrá hlavnú rolu, môže byť pomerne náročná na výpočet.
Energetická účinnosť vykurovacieho systému
Hoci sa proces vykurovania začína výrobou tepla a pokračuje postupne, až kým sa teplo odovzdá do miestnosti, pričom straty energie sa postupne zvyšujú od výroby smerom k odovzdávaniu, postupuje sa pri výpočte strát energie presne naopak, a to od potreby tepla na vykurovanie cez straty pri odovzdávaní tepla, straty pri rozvode tepla až po straty pri akumulácii a výrobe tepla. Tepelné straty z rozvodu tepla sú na obr. 1 naznačené ako druhá položka zľava. Podrobnosti ohľadne výpočtu tepelných strát zo systému rozvodu tepla možno nájsť v STN EN 15316-2-3 [1].
V určitých prípadoch možno časť tepelných strát využiť na vykurovanie priestoru, a to napríklad vtedy, keď rozvody prechádzajú cez vykurovaný priestor s teplotou vzduchu nižšou, ako je teplota látky v rúrkach. Takéto straty sa nazývajú obnoviteľné tepelné straty. Na to, aby vykurovacia látka, resp. teplá voda v rúrkach prúdila, je nevyhnutné použiť obehové, resp. cirkulačné čerpadlo. Aby toto čerpadlo pracovalo, treba mu dodať elektrickú energiu. Množstvo dodanej elektrickej energie na pohon čerpadla sa nazýva vlastná potreba energie. Vzhľadom na to, že pri práci čerpadla vzniká teplo, aj toto teplo možno využiť na vykurovanie priestoru, ak sa čerpadlo nachádza vo vykurovanom priestore.
Obr. 1 Postup výpočtu tepelných strát zo systému vykurovania. Straty energie sa zvyšujú smerom od výroby k odovzdávaniu (sprava smerom doľava), výpočet však prebieha od odovzdávania k výrobe tepla (zľava smerom doprava).
Energetická účinnosť systému rozvodu tepla
Účinnosť podsystému rozvodu tepla sa vypočíta ako podiel energie, ktorá z podsystému vychádza, a energie, ktorá do systému vstupuje. Celková účinnosť systému rozvodu tepla hdis sa tak vypočíta ako
kde:
Qdis,out je potreba tepla na vykurovanie, resp. prípravu teplej vody; k nej sa prirátavajú tepelné straty zo systému odovzdávania (kWh),
Qdis,in – teplo, ktoré treba dodať systému rozvodu tepla; ide teda o potrebu tepla spolu s tepelnými stratami zo systému odovzdávania a tepelnými stratami z rozvodu tepla (kWh).
Tento zjednodušený vzťah neberie do úvahy rôzne váhové faktory pre teplo potrebné na pokrytie tepelných strát a elektrickú energiu potrebnú na pohon čerpadiel, resp. akčných členov či regulačných prvkov (vlastnú potrebu energie).
Tepelná strata z rozvodov vykurovacieho systému
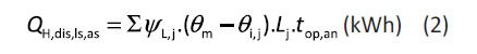
Na obr. 2 vidieť tepelnú stratu prechodom tepla z rozvodov. Červené oblasti predstavujú neizolovanú časť potrubia, resp. neizolované priestupy potrubí stenou. Podľa STN EN 15316-2-3 [1] sa tepelné straty pre všetky potrubia j v časovom kroku určia ako
kde
Ψ je lineárny stratový súčiniteľ (W/(m . K)),
θm − stredná teplota teplonosnej látky (°C),
θi − teplota okolitého prostredia (°C),
L − dĺžka potrubia vykurovacieho okruhu (m),
j − index pre potrubia s rovnakými okrajovými podmienkami,
top,an − počet vykurovacích hodín v časovom kroku (h).
Obr. 2 Termovízia – tepelná strata prechodom tepla z rozvodov
Okrem tepelnej straty z úseku potrubia môže dochádzať aj k zvýšenej tepelnej strate z armatúr (uzatvárací ventil, trojcestný ventil a pod.). Tepelné straty z armatúr na vykurovacom potrubí možno vo výpočte zohľadniť pomocou ekvivalentnej dĺžky. To znamená, že za každú armatúru sa k dĺžke vykurovacieho potrubia pripočíta ekvivalentná dĺžka, ktorou sa zohľadní tepelná strata cez túto armatúru. Ekvivalentné dĺžky pre armatúry sú uvedené v tab. 1.
Minimálna hrúbka tepelnej izolácie rozvodov tepla a teplej vody
Minimálna hrúbka tepelnej izolácie rozvodov tepla a teplej vody v budovách pri izolačnom materiáli s tepelnou vodivosťou 0,035 W/(m . K) a teplote 0 °C podľa vyhlášky MH SR č. 282/2012 Z. z. je uvedená v tab. 2. Táto vyhláška bola koncom roka 2014 zrušená a v čase písania tohto článku za ňu neexistovala adekvátna náhrada. Pri rozdeľovačoch a zberačoch tepla, v miestach križovania či spájania potrubí a pri potrubiach a armatúrach inštalovaných v priestupoch stien a stropov sa môže minimálna hrúbka izolácie znížiť o 50 % hodnoty hrúbky izolácie uvedenej v príslušnom riadku tabuľky. Uvedené hodnoty sú navrhnuté pre rozvody tepla a teplej vody s oceľovými rúrkami. V prípade použitia iných materiálov rozvodov tepla a teplej vody sa minimálna hrúbka izolácie vypočíta podľa prílohy č. 2 k vyhláške MH SR č. 282/2012 Z. z. [2].
Ďalším predpisom určujúcim úroveň tepelnej izolácie rozvodov je vyhláška MDVRR č. 364/2012 Z. z. [3], podľa ktorej nesmie tepelná strata distribučnej sústavy novej alebo významne obnovovanej budovy presiahnuť 10 W/(m . K). Táto nízka hodnota sa musí dodržať pri výpočtovej teplote teplej vody 60 °C (s možnosťou termickej dezinfekcie), resp. 70 °C (bez možnosti termickej dezinfekcie) a pri maximálnom rozdiele teploty teplej vody medzi výstupným a vratným otvorom zásobníka najviac 5 K.
Výpočet lineárneho súčiniteľa prechodu tepla
Vo výpočte lineárneho súčiniteľa prechodu tepla možno materiál rúrky z dôvodu zjednodušenia zanedbať, a to najmä pri dobre izolovaných potrubiach. Lineárny súčiniteľ prechodu tepla izolovaných potrubí vo vzduchu s celkovým súčiniteľom prestupu tepla, ktorý zahŕňa prúdenie a sálanie na vonkajšom povrchu, sa určí ako
kde
di je vnútorný priemer potrubia (bez tepelnej izolácie) (m),
da – vonkajší priemer potrubia (s tepelnou izoláciou) (m),
ha – celkový súčiniteľ prestupu tepla na vonkajšom povrchu (prúdením a sálaním) (W/(m2 . K)), pričom preddefinované hodnoty tohto súčiniteľa podľa STN EN 15316-2-3 [1] sú ha = 8 W/(m2 . K) pri izolovaných potrubiach a ha = 14 W/(m2 . K) pri neizolovaných potrubiach,
λD – tepelná vodivosť tepelnej izolácie (W/(m . K)).
Pri potrubiach zapustených do podkladu sa lineárny súčiniteľ prechodu tepla určí ako
kde
di je vnútorný priemer potrubia (bez tepelnej izolácie) (m),
da − vonkajší priemer potrubia (s tepelnou izoláciou) (m),
λE − tepelná vodivosť okolitého výplňového materiálu (W/(m . K)),
λD − tepelná vodivosť tepelnej izolácie (W/(m . K)),
z − hĺbka potrubia pod povrchom (m).
Podrobné informácie o výpočte lineárneho súčiniteľa prechodu tepla sú uvedené v STN EN ISO 12241 [4].
Výpočet teploty prívodnej a vratnej vody
V prípade systémov odovzdávania tepla do vnútorného prostredia s konštantným prietokom a reguláciou teploty prívodnej vody v závislosti od vonkajšej teploty sa teplota prívodnej vody θs a teplota vratnej vody θr vypočítajú ako
βdis je priemerné čiastočné zaťaženie rozvodu v zóne,
n – teplotný exponent systému odovzdávania tepla do vnútorného prostredia, pričom preddefinované hodnoty exponentu podľa [1] sú n = 1,33 (pri vykurovacích telesách) a n = 1,1 (pri podlahových vykurovacích systémoch),
θs,des − projektovaná teplota prívodnej vody (°C),
θr,des − projektovaná teplota vratnej vody (°C),
θi − teplota okolitého vzduchu (°C).
Vlastná potreba energie systému rozvodu tepla – zjednodušená metóda
Vlastná potreba energie zahŕňa najmä elektrickú energiu potrebnú na pohon obehových čerpadiel. Nasledujúci výpočet predstavuje zjednodušenú výpočtovú metódu, pri ktorej sa zadefinovali niektoré predpoklady pre najdôležitejšie prípady. Výpočet platí pre neprerušovanú prevádzku, teda bez teplotného útlmu. Pri prerušovanej prevádzke treba spraviť určité modifikácie. Ročná vlastná potreba energie obehových čerpadiel pri vodných vykurovacích systémoch sa vypočíta ako
kde
WH,dis,aux,an je potreba hydraulickej energie (kWh),
edis – systémový výkonový faktor (–).
Potreba hydraulickej energie
Pri zjednodušenej výpočtovej metóde možno potrebu hydraulickej energie vyjadriť ako
kde
Phydr,des je výkon čerpadla v pracovnom bode (W),
βdis – priemerné čiastočné zaťaženie rozvodu (–),
top,an – počet vykurovacích hodín za rok (h/rok),
fNET – korekčný faktor pre hydraulické siete (–),
fHB – korekčný faktor pre hydraulické vyváženie (–),
fG,PM – korekčný faktor pre zariadenia na výrobu tepla s integrovanou reguláciou čerpadiel (–).
Na výpočet potreby hydraulickej energie treba najskôr určiť výkon čerpadla v pracovnom bode. Výkon čerpadla sa určí ako
kde
Vdes je prietok v pracovnom bode (m3/h),
Δpdes – tlakový spád (dispozičný tlak čerpadla) v pracovnom bode (kPa).
Tlakový spád v pracovnom bode sa vypočíta zjednodušene so zohľadnením určeného merného tlakového spádu vykurovacieho okruhu (100 Pa/m) a so zohľadnením prídavného tlakového spádu na vradené odpory 30 Pa/m ako
kde
Lmax je maximálna dĺžka potrubia vykurovacieho okruhu (m),
ΔpFH – prídavný tlakový spád podlahových vykurovacích systémov (kPa),
ΔpG – tlakový spád zariadenia na výrobu tepla (kPa).
Ak nie je maximálna dĺžka vykurovacieho okruhu v zóne známa z projektovej dokumentácie, možno ju približne vypočítať z vonkajších rozmerov zóny ako
kde
LL je dĺžka zóny (m),
LW – šírka zóny (m),
Nlev – počet vykurovaných podlaží v zóne (–),
hlev – konštrukčná výška podlažia v zóne (m),
lc – dĺžka pripájacích potrubí od stúpacích potrubí k vykurovacím telesám (10 m pri dvojrúrových vykurovacích systémoch, resp. LL + LW pri jednorúrových vykurovacích systémoch).
Ak nie sú k dispozícii údaje o hodnotách ΔpFH a ΔpG, použijú sa preddefinované hodnoty– ΔpFH = 25 kPa vrátane uzatváracích armatúr a rozdeľovačov; ΔpG podľa tab. 3, kde
ΦH,em,out,max je maximálny tepelný výkon (kW) a Vdes je objemový prietok (m3/h).
Prietok sa vypočíta z tepelného príkonu zóny ΦH,em,out (projektovaný tepelný príkon podľa STN EN 12831) a z projektovaného teplotného spádu Δϑdis,des vykurovacieho systému ako
kde
ΦH,em,out je projektovaný tepelný príkon podľa STN EN 12831 [5] (kW),
c – merná tepelná kapacita vykurovacej látky (kJ/(kg . K))
ρ – hustota vykurovacej látky (kg/m3),
Δϑdis,des – projektovaný teplotný spád (K).
Priemerné čiastočné zaťaženie rozvodu sa určí ako
kde
QH,dis,out je tepelný výstup zo systému distribúcie (kWh)
Φem – menovitý výkon inštalovaných vykurovacích telies v príslušnej zóne alebo projektovaný tepelný príkon vo fáze navrhovania (kW)
top – počet vykurovacích hodín pre príslušnú zónu a výpočtový interval.
Korekčný faktor pre hydraulické siete fNET
fNET = 1 (pri dvojrúrových vykurovacích systémoch)
fNET = 8,6 . kby + 0,7 (pri jednorúrových vykurovacích systémoch, kde kby je pomer medzi prietokom cez vykurovacie teleso a prietokom cez okruh) (pomer zatekania) (–)
Korekčný faktor pre hydraulické vyváženie fHB
fHB = 1 (pri hydraulicky vyvážených vykurovacích systémoch)
fHB = 1,15 (pri hydraulicky nevyvážených vykurovacích systémoch)
Korekčný faktor pre zariadenia na výrobu tepla s integrovanou reguláciou čerpadiel fG,PM
fG,PM = 1 (pri štandardných zariadeniach na výrobu tepla regulovaných podľa vonkajšej teploty) (OTC)
fG,PM = 0,75 (pri zariadeniach na výrobu tepla inštalovaných na stene a regulovaných podľa vonkajšej teploty) (OTC)
fG,PM = 0,45 (pri zariadeniach na výrobu tepla inštalovaných na stene a regulovaných podľa teploty v priestore)
Systémový výkonový faktor
Pri zjednodušenej metóde sa hodnota systémového výkonového faktora vypočíta ako
kde
CP1, CP2 sú konštanty podľa tab. 4,
βdis – priemerné čiastočné zaťaženie rozvodu (–),
fe – faktor účinnosti podľa rovníc
kde Phydr,des sa uvedie vo W. Pri existujúcich inštaláciách možno použiť hodnotu menovitého príkonu čerpadla, ktorá sa uvádza na štítku ako Pel,pmp. Pri čerpadlách bez regulácie s viacerými stupňami otáčok sa Pel,pmp má určiť podľa stupňa otáčok, na ktorom je čerpadlo v prevádzke. Ak hodnota Pel,pmp nie je dostupná, potom
kde b = 1 (pri nových budovách) a b = 2 (pri starších budovách).
Spätne získateľná časť vlastnej potreby energie
Čerpadlá, ktoré sú v prevádzke sústav vykurovania, premieňajú časť vlastnej potreby energie na teplo. Jedna jej časť sa v podsystéme rozvodu tepla spätne získava ako teplo, ktoré sa dodáva do teplonosnej látky, ďalšia časť tepla ohrieva okolitý vzduch. Na obr. 3 sú krúžkami vyznačené obehové čerpadlá vo vykurovacom systéme. Červená farba čerpadiel na termovíznej snímke naznačuje produkciu tepla pri chode čerpadiel.
Spätne získateľná časť vlastnej potreby energie sa vypočíta ako
kde
faux,rbl je faktor spätne získateľnej časti vlastnej potreby energie (pri čerpadle bez tepelnej izolácie môže mať hodnotu 0,75 a pri čerpadle s tepelnou izoláciou 0,90),
WH,dis,aux,an – ročná vlastná potreba energie obehových čerpadiel (kWh).
Obr. 3 Obehové čerpadlá; červená farba na termovíznej snímke naznačuje produkciu tepla pri chode čerpadiel.
Vlastná potreba energie – tabuľková výpočtová metóda
Ak nie sú známe takmer žiadne údaje o systéme rozvodu tepla, možno použiť tabuľkovú metódu. Používať ju však treba opatrne, pretože hodnoty vlastnej potreby energie sa udávajú len pre vykurovanú plochu
Ah,z ≤ 1 000 m2, a preto, že sa pri výpočte postupovalo podľa zjednodušenej výpočtovej metódy a zaviedlo sa niekoľko ďalších predpokladov:
• priemerné čiastočné zaťaženie rozvodu βdis = 0,4,
• počet vykurovacích hodín top,an = 5 000 hodín za rok; pri odlišnom počte vykurovacích hodín sa vlastná potreba energie WH,dis,aux,an určí vynásobením tabuľkovej hodnoty faktorom f = top,an/5 000, kde top,an je počet vykurovacích hodín za rok,
• projektovaný tepelný príkon na m2 ΦH,em,out = 40 W/m2 (nové budovy),
• Ah,z = m2 zóny – jedno čerpadlo na maximálne 1 000 m2 zóny,
• dĺžka zóny v závislosti od vykurovanej plochy zóny: LL = 11,4 + 0,0059 . Ah,z,
• šírka zóny v závislosti od vykurovanej plochy zóny: LW = 2,72 . ln(Ah,z) + 6,62,
• počet podlaží v zóne: Nlev = Ah,z/(LL × LW),
• výška podlažia hlev = 3 m.
Záver
Systém rozvodu tepla, resp. teplej vody môže výrazne prispieť k zvýšeniu potreby energie, preto je dôležité navrhnúť rozvody hospodárne a primerane ich zaizolovať.
Článok vznikol vďaka podpore v rámci OP Výskum a vývoj pre projekt: Kompetenčné centrum inteligentných technológií pre elektronizáciu a informatizáciu systémov a služieb, ITMS: 26240220072, spolufinancovaný zo zdrojov Európskeho fondu regionálneho rozvoja.
Literatúra
- STN EN 15316-2-3 Vykurovacie systémy v budovách. Metóda výpočtu energetických požiadaviek systému a účinnosti systému. Časť 2-3: Systémy rozvodu tepla.
- Vyhláška Ministerstva hospodárstva Slovenskej republiky č. 282/2012 Z. z. z 18. júla 2012, ktorou sa ustanovujú technické požiadavky na tepelnú izoláciu rozvodov tepla a teplej vody.
- Vyhláška Ministerstva dopravy, výstavby a regionálneho rozvoja Slovenskej republiky č. 364/2012 Z. z. z 12. novembra 2012, ktorou sa vykonáva zákon č. 555/2005 Z. z. o energetickej hospodárnosti budov a o zmene a doplnení niektorých zákonov v znení neskorších predpisov.
- STN EN ISO 12241 Tepelná izolácia technických zariadení budov a priemyselných inštalácií. Výpočtové pravidlá.
- STN EN 12831 Vykurovacie systémy v budovách. Metóda výpočtu projektovaného tepelného príkonu.
- STN EN 15316-1 Vykurovacie systémy v budovách. Metóda výpočtu energetických požiadaviek systému a účinnosti systému. Časť 1: Všeobecne.
- Krajčík, M., Petráš, D.: Energetické hodnotenie budov. Bratislava: Nakladateľstvo STU, 2015.
- Dahlsveen, T., Petráš, D., Chmúrny, I., Smola, A., Lulkovičová, O., Füri, B., Konkoľ, R.: Energetický audit a certifikácia budov. Bratislava: JAGA Group, 2008.
Obrázky: autor
Text: Ing. Michal Krajčík, PhD.
Autor pôsobí na Katedre technických zariadení budov Stavebnej fakulty STU v Bratislave.
Recenzoval: prof. Ing. Dušan Petráš, PhD.
Článok bol uverejnený v časopise TZB HAUSTECHNIK.



















