Mýty a fakty o tepelných čerpadlách
Tepelné čerpadlá predstavujú alternatívny zdroj tepelnej energie a pracujú na princípe termodynamického chladiaceho obehu, v ktorom sa ako úžitkový tepelný tok využíva kondenzačné teplo odvádzané z pracovnej látky (chladiva). Takto generovanú tepelnú energiu možno využiť predovšetkým na vykurovanie a výrobu teplej vody, pričom v podmienkach výroby elektrickej energie v Slovenskej republike je v porovnaní s konvenčnou výrobou tepla spaľovaním fosílnych palív z energetického aj ekologického hľadiska viacnásobne efektívnejšia.
Ekonomická efektívnosť využitia tepelného čerpadla na výrobu tepla, ktorá je z hľadiska užívateľa základným kritériom realizácie systému, výrazne závisí od konkrétnych podmienok inštalácie a prevádzky daného systému a nie je pravidlom, že porovnanie s konvenčnou výrobou tepla vychádza vždy v prospech tepelných čerpadiel. Hodnotenie energetickej, ekologickej a ekonomickej efektívnosti výroby tepla tepelnými čerpadlami je v porovnaní s konvenčnými systémami, a to nielen v laickej, ale aj v odbornej technickej verejnosti, zaťažené mnohými nesprávnymi úvahami a závermi, ktoré sa uvádzajú v príspevkoch na rôznych odborných technických konferenciách aj v niektorých odborných časopisoch. Zvyčajne buď veľmi preceňujú výhodnosť využitia tepelných čerpadiel, alebo naopak, výrazne nedoceňujú ich prínos z uvedených hľadísk. Dôvodom je predovšetkým to, že tieto úvahy nie sú podložené žiadnymi výpočtami, resp. sú podložené nesprávnymi výpočtami a ich autori často nemajú základné teoretické vedomosti z oblasti chladiacej techniky, bez ktorých nie je možné vykonať správne hodnotenia. Ďalej sú uvedené tri nesprávne východiskové úvahy – mýty, z ktorých najčastejšie vyplývajú chybné a úplne nereálne hodnotenia a závery o energetickej, ekologickej a ekonomickej efektívnosti využitia tepelných čerpadiel na vykurovanie a výrobu teplej vody.
1. Mýtus o vyhodnocovaní energetickej efektívnosti
Energetickú efektívnosť tepelných čerpadiel možno vyhodnotiť alebo predpovedať na základe hodnôt výkonových čísiel (COP) uvádzaných v katalógu výrobcu.
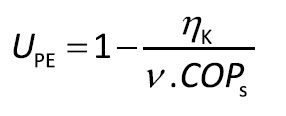
Energetická efektívnosť obehu tepelného čerpadla vyjadrená hodnotou výkonového čísla COP (z anglického názvu „Coefficient of Performance“) je daná pomerom produkovaného tepelného toku k mechanickému príkonu kompresora a závisí od hodnôt kondenzačnej a výparnej teploty obehu. Pri tepelných čerpadlách typu vzduch – voda, ktoré sa u nás prevažne používajú (najmä z ekonomických dôvodov), teda COP závisí od vonkajšej teploty vzduchu a potrebnej teploty produkovanej vody, ktorá závisí najmä od typu vykurovacej sústavy. Takže výrobca môže udávať hodnoty COP len pri konkrétnych hodnotách uvádzaných teplôt, ktoré sa však počas prevádzky tepelného čerpadla menia a závisia od konkrétnych klimatických podmienok miesta inštalácie. Hodnota COP udávaná výrobcom sa môže použiť len na porovnanie s iným výrobkom rovnakého typu a samozrejme pri tých istých uvedených teplotách. Na vyhodnotenie energetickej (ale aj ekologickej a ekonomickej) efektívnosti použitia tepelného čerpadla v porovnaní s konvenčnou výrobou tepla treba stanoviť hodnotu tzv. sezónneho výkonového čísla (COPs), čo je pomer celkového množstva vyrobeného tepla a celkového množstva dodanej pohonnej elektrickej energie za celý čas prevádzky počas roka (napríklad za vykurovaciu sezónu alebo za celý rok v prípade použitia tepelného čerpadla aj na celoročnú výrobu teplej vody alebo jeho využitie v letných mesiacoch na klimatizáciu). Hodnotu COPs možno určiť len meraním uvedených energetických tokov v priebehu prevádzky alebo predpovedaním na základe teplôt vzduchu na mieste aplikácie a ďalších parametrov konkrétneho návrhu celého systému tepelného čerpadla. Je zrejmé, že výrobca nemôže hodnotu COPs vo svojich katalógoch uvádzať ani predpovedať. Energetickú efektívnosť výroby tepla tepelnými čerpadlami v porovnaní s konvenčnou výrobou tepla spaľovaním fosílnych palív v kotle potom možno prostredníctvom použitia hodnoty COPs konkrétne vyhodnotiť výpočtom úspory primárnej energie (UPE), teda množstva tepla generovaného spaľovaním fosílneho paliva, a to týmto vzťahom [1]:
UPE = 1- ηK/ν.COPs
kde:
- ηK – účinnosť kotla na spaľovanie fosílneho paliva,
- ν – transformačný koeficient vyjadrujúci podiel medzi vyrobeným množstvom elektrickej energie a spotrebou primárnej energie (tepelnej energie obsiahnutej vo fosílnom palive) na túto výrobu v danej krajine.
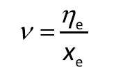
Hodnota ν sa vypočíta ako
ν= ηe/xe
kde:
- ηe – priemerná hodnota termickej účinnosti výroby elektrickej energie spaľovaním fosílneho paliva v kondenzačných elektrárňach a teplárňach v danej krajine (v Slovenskej republike možno počítať s hodnotou približne 0,4),
- xe – podiel elektrickej energie vyrábanej spaľovaním fosílnych palív na celkovej výrobe v danej krajine (na Slovensku je táto hodnota nižšia ako 0,20).
Kvantitatívna miera úspory primárnej energie podľa vzťahu (1) je potom v podmienkach výroby elektrickej energie na Slovensku (xe = 0,2; ηe = 0,4) úmerná hodnote COPs konkrétnej aplikácie tepelného čerpadla.
Súhrn faktov
Na vyhodnotenie energetickej efektívnosti použitia tepelného čerpadla v porovnaní s konvenčnou výrobou tepla treba stanoviť hodnotu tzv. sezónneho výkonového čísla COPs, ktorú možno určiť len meraním uvedených energetických tokov počas prevádzky alebo predpovedaním na základe klimatických údajov a ďalších parametrov systému v konkrétnom mieste aplikácie. Hodnotu COPs teda výrobca nemôže vo svojich katalógoch uvádzať ani predpovedať.
Napríklad, pri sezónnej hodnote COPs = 2,5 (reálne dosiahnuteľná hodnota pri tepelných čerpadlách vzduch – voda pri použití veľkoplošnej vykurovacej sústavy) vychádza v podmienkach výroby pohonnej elektrickej energie na Slovensku (xe = 0,2; ηe = 0,4) úspora primárnej energie podľa vzťahu (1) 82 %, z čoho vyplýva, že použitím tepelného čerpadla namiesto konvenčnej výroby tepla spaľovaním fosílneho paliva v kotle (pri ηK = 0,9) sa spotrebuje len 18 % paliva.
2. Mýtus o vyhodnocovaní ekologickej efektívnosti
Ekologickú efektívnosť tepelných čerpadiel možno vyhodnotiť na základe výpočtu emisie CO2 vznikajúcej pri výrobe spotrebovanej pohonnej elektrickej energie spaľovaním fosílneho paliva v elektrárňach a teplárňach len na základe ich termickej účinnosti. Produkcia CO2 pri prevádzke tepelných čerpadiel je potom porovnateľná alebo aj väčšia ako pri výrobe tepla spaľovaním v kotle.
Produkcia CO2 pri prevádzke tepelných čerpadiel je priamo úmerná množstvu spáleného fosílneho paliva potrebného na výrobu pohonnej elektrickej energie kompresora obehu. Kvantitatívna miera tejto úspory primárnej energie, a teda aj ekologický prínos tepelných čerpadiel (úspora emisií CO2 produkovaných výrobou pohonnej elektrickej energie), je úmerná hodnote COPs konkrétnej aplikácie tepelného čerpadla. Na základe kvantifikácie úspor primárnej energie použitím tepelných čerpadiel na výrobu tepla v predchádzajúcej časti (pri COPs = 2,5 potrebujeme na pohon kompresora tepelného čerpadla spáliť len 18 % fosílneho paliva v porovnaní s kotlom) možno potom kvantifikovať aj úsporu produkcie CO2 vďaka ich prevádzke. Fakty o výraznej ekologickej efektívnosti výroby tepla tepelnými čerpadlami v porovnaní s konvenčnými zdrojmi sú v literatúre [2] konkrétne dokumentované výpočtami množstva emisií CO2 na produkovanú 1 kWh tepla podľa rôznych noriem, vyhlášok, smernice Európskeho parlamentu, ako aj reálnych podmienok výroby elektrickej energie na Slovensku.
Súhrn faktov
V podmienkach výroby elektrickej energie v SR (menej ako 20 % elektrickej energie sa vyrába spaľovaním fosílneho paliva) je ekologická efektívnosť použitia tepelných čerpadiel na výrobu tepelnej energie až 6-krát väčšia a ich prevádzkou sa teda produkuje úmerne menšie množstvo CO2 ako pri výrobe rovnakého množstva tepla spaľovaním paliva v kotle.
3. Mýtus o ekonomickej efektívnosti
Investícia do systému tepelného čerpadla má v porovnaní s konvenčnou výrobou tepla z hľadiska vyhodnotenia ekonomickej efektívnosti veľmi krátky čas návratnosti – približne do 5 rokov. Pred inštaláciou tepelného čerpadla do jestvujúceho nezatepleného domu je vhodné realizovať zateplenie, aby sa znížili tepelné straty, teda aby sa znížil aj potrebný vykurovací výkon tepelného čerpadla. Výsledkom bude vyššia ekonomická efektívnosť, čo sa prejaví skrátením návratnosti investície.
Ekonomická efektívnosť investície na výrobu tepla tepelným čerpadlom je z hľadiska užívateľa, ako už bolo spomenuté v úvode, základným a prakticky jediným kritériom realizácie takéhoto systému a možno ju vyjadriť predovšetkým časom návratnosti tejto investície v porovnaní s investíciou do konvenčného systému výroby tepla. Keďže investičné náklady na tepelné čerpadlá sú niekoľkonásobne vyššie ako na konvenčné systémy, treba pri tepelných čerpadlách dosiahnuť na zabezpečenie návratnosti čo najvyššie úspory prevádzkových nákladov na pohonnú energiu. Úspora prevádzkových nákladov na pohonnú energiu závisí predovšetkým od hodnoty dosiahnutého sezónneho výkonového čísla COPs konkrétnej inštalácie, ktoré je dané okrem klimatických podmienok v mieste inštalácie najmä typom vykurovacej sústavy (pri veľkoplošných vykurovacích sústavách možno použiť výrazne nižšiu teplotu vykurovacej vody, čo vplýva na výrazné zvýšenie hodnoty COPs), možnosťou celoročného využitia tepelných čerpadiel, technickou dokonalosťou jednotlivých komponentov systému (najmä typom kompresora) a ďalšími parametrami konkrétneho systému aj vykurovacej sústavy. Je teda zrejmé, že ekonomickú efektívnosť investície na tepelné čerpadlo možno určiť len výpočtom času návratnosti v podmienkach konkrétnej aplikácie.
Z hľadiska budúceho užívateľa systému tepelného čerpadla je výhodnosť takejto investície úmerná čo najnižšiemu času návratnosti. Ak berieme do úvahy životnosť systémov tepelných čerpadiel okolo 15 rokov, návratnosť by z hľadiska užívateľa mala byť výrazne nižšia, teda maximálne asi 10 rokov. Konkrétne výpočty v desiatkach diplomových prác obhájených v Ústave tepelnej energetiky Strojníckej fakulty STU (pod vedením autora tohto príspevku), ktoré sa týkali rôznych typov tepelných čerpadiel a podmienok konkrétnych aplikácií, však dokumentujú, že dosiahnutie návratnosti pod 10 rokov nie je pravidlom a zvyčajne je možné len pri niektorých aplikáciách tepelných čerpadiel typu vzduch – voda, predovšetkým v podmienkach veľkoplošných vykurovacích systémov s celoročnou prevádzkou. Inštalácie systémov voda – voda väčšinou dosahujú návratnosť na hranici životnosti a pri systémoch pôda – voda je dosiahnutie návratnosti vloženej investície prakticky nemožné pre výrazne vysoké investičné náklady v porovnaní s konvenčnými systémami. Akákoľvek kombinácia investície do tepelného čerpadla s ďalšími investíciami, ako sú zateplenie domu alebo využitie slnečných kolektorov ako zdroja nízkoteplotnej energie pre výparník obehu, môže návratnosť len zhoršiť. Konkrétne hodnotenia ekonomiky takýchto kombinácií ukazujú, že dosiahnutie návratnosti do ukončenia životnosti je prakticky nemožné. Úvaha o vhodnosti realizácie zateplenia pred inštaláciou tepelného čerpadla je nesprávna aj preto, že zníženie potrebného tepelného výkonu tepelného čerpadla v dôsledku zateplenia priamo úmerne zníži aj úsporu prevádzkových nákladov na pohonnú energiu, pričom investičné náklady na systém s menším výkonom priamo úmerne neklesnú. Výsledkom konkrétneho výpočtu potom môže byť len predĺženie času návratnosti. Predchádzajúce závery sú konkrétne dokumentované napríklad aj výpočtami v [3], kde výsledky simulácie sezónneho výkonového čísla pri troch budovách s rôznymi tepelnými stratami ukazujú výrazný nárast COPs s narastajúcimi stratami tepla a s rastúcou spotrebou tepla na vykurovanie. Dobre izolované nízkoenergetické budovy, ktoré majú veľmi nízku spotrebu tepla a úspory pohonnej energie pre tepelné čerpadlo, sú teda bezvýznamné, nemôžu zabezpečiť ekonomickú efektívnosť systému. Inštalovanie tepelných čerpadiel do takýchto budov je ekonomickým nezmyslom.
Súhrn faktov
Návratnosť investície do tepelného čerpadla (namiesto konvenčného systému výroby tepla v kotle) do 5 rokov je v praktických aplikáciách v klimatických podmienkach Slovenska nereálna, skutočné hodnoty návratnosti dosahujú na základe konkrétnych výpočtov vo väčšine aplikácií prevažne hodnoty 10 aj viac rokov.
Akákoľvek kombinácia investície do systému tepelného čerpadla s ďalšími investíciami, ako sú napríklad zateplenie alebo slnečné kolektory, nemôže zabezpečiť návratnosť do ukončenia životnosti takéhoto systému. Pri starších stavbách s vysokými tepelnými stratami sa treba na základe konkrétneho ekonomického výpočtu rozhodnúť buď pre zateplenie, alebo inštaláciu tepelného čerpadla, pričom zateplenie môže byť podľa konkrétnych podmienok aplikácie niekedy výhodnejšie ako použitie tepelných čerpadiel. S klesajúcou potrebou množstva tepla na vykurovanie sa zhoršuje aj návratnosť tepelných čerpadiel v dôsledku malej úspory prevádzkových nákladov pri relatívne vysokej investícii. Preto inštalácia tepelných čerpadiel do nízkoenergetických budov s veľmi nízkou spotrebou tepla nemôže zabezpečiť ekonomickú efektívnosť systému.
Záver
Efektívnosť využitia tepelných čerpadiel na vykurovanie a prípravu teplej vody v budovách sa v porovnaní s konvenčnou výrobou tepla z energetického hľadiska (úspora primárnej energie – fosílneho paliva) aj z ekologického hľadiska (z úspory paliva vyplývajúceho zníženia produkcie CO2) často výrazne nedoceňuje najmä z toho dôvodu, že aj niektorí odborníci v oblasti energetiky neberú do úvahy skutočnosť, že v podmienkach Slovenska sa len menej ako 20 % elektriny vyrába tepelnou cestou spaľovaním fosílneho paliva v konvenčných elektrárňach a teplárňach. Výsledky takýchto úvah sú potom, samozrejme, celkom mimo reality a niekoľkonásobne zhoršujú skutočnú energetickú a ekologickú efektívnosť použitia tepelných čerpadiel. Na druhej strane, ekonomická efektívnosť inštalácií tepelných čerpadiel sa často preceňuje vyhláseniami (aj niektorých výrobcov) o krátkom čase návratnosti do približne 5 rokov, ktorý však nie je dokumentovaný žiadnymi výpočtami konkrétnych aplikácií a vzhľadom na fakty uvedené v tomto príspevku je v prevažnej väčšine inštalácií celkom nereálny. Ako dokumentujú konkrétne kvantitatívne hodnotenia aj literárne údaje, nesporným faktom je, že energetická aj ekologická efektívnosť použitia tepelných čerpadiel na výrobu tepla je pri väčšine aplikácií v podmienkach Slovenska až 6-krát vyššia ako pri výrobe tepla konvenčným systémom – spaľovaním paliva v kotle. Pritom je však návratnosť investície do systému tepelného čerpadla v porovnaní s výrobou tepla konvenčným systémom v mnohých konkrétnych podmienkach aplikácie na hranici životnosti systému, a teda často nie je pre užívateľa dostatočne prijateľná a motivujúca na rozhodnutie o inštalácii tepelného čerpadla. Na záver možno konštatovať, že masové rozšírenie používania tepelných čerpadiel na vykurovanie a prípravu teplej vody v budovách, ktoré by najmä z dôvodu mimoriadne ekologicky úspornej prevádzky malo byť celospoločenskou prioritou, nemožno v najbližšom období očakávať bez realizácie štátnych dotácií na investície, alebo aj pohonnú elektrickú energiu.
Text: prof. Ing. Václav Havelský, PhD.
Foto: Vaillant
Autor pôsobí v Ústave tepelnej energetiky Strojníckej fakulty STU v Bratislave a zameriava sa na energeticko-ekologické a ekonomické hodnotenia efektívnosti inštalácií tepelných čerpadiel na zabezpečenie potrieb tepla v budovách.
Literatúra
1. Havelský, V.: Evaluation of Renewable Heat Sources Utilization by Heat Pumps. Proceedings of the 7th International Conference on Compressors and Coolants „Compresssors 2009“, Papiernička (Slovakia), 30. 9. – 2. 10. 2009, s.158 – 160, IIR Paris a SZ CHKT, 90041 Rovinka.
2. Tomlein, P.: Energetické a ekologické výpočty účinkov tepelných čerpadiel. In: TZB Haustechnik 05/2011, s. 20 – 23.
3. Vavřinová, K. – Kabele, K.: Geotermálne tepelné čerpadlá. In: TZB Haustechnik 04/2013, s.38 – 39.
Článok bol uverejnený v TZB Haustechnik.








