Efektivita prípravy vody tepelným čerpadlom s FV systémom
Využitie FV systému v kombinácii s tepelným čerpadlom môže za určitých podmienok výrazne znížiť spotrebu elektrickej energie na účely prípravy teplej vody.
Vzhľadom na vysoký konverzný faktor neobnoviteľnej primárnej energie a vysoký emisný faktor pre elektrickú energiu nielen v Českej republike, ale aj v mnohých iných európskych krajinách môže byť v budúcnosti problematizované nasadenie elektricky poháňaných tepelných čerpadiel. Z pohľadu neobnoviteľnej primárnej energie patria medzi energeticky náročné aplikácie napríklad sústavy s tepelnými čerpadlami nasadené v bežných bytových domoch [1] alebo v energeticky úsporných rodinných domoch [2], kde sa významné množstvo tepla spotrebúva na prípravu teplej vody.
Najmä pri snahe o zabezpečenie komfortu, keď sa môže požadovať príprava teplej vody na vysokej teplotnej úrovni, je príprava teplej vody tepelným čerpadlom energeticky veľmi náročná. Tepelné čerpadlo pracuje potom s veľmi nízkym vykurovacím faktorom na úrovni 2,2 až 2,6. Okrem zvyšovania efektivity využitia elektrickej energie pokročilými tepelnými čerpadlami [3] je významnou cestou k zníženiu spotreby elektrickej energie z rozvodnej siete využitie miestnej produkcie elektrickej energie z OZE. V posledných rokoch sa realizácia v oblasti miestneho využitia obnoviteľných zdrojov elektrickej energie čoraz viac sústredí na inštalácie FV systémov, a to najmä na účely maximalizácie pokrytia vlastnej spotreby v budove s ohľadom na legislatívne a ekonomicky sproblematizovanú dodávku do nadradenej siete.
Produkcia elektriny FV systémom a jej spotreba tepelným čerpadlom sa zdá byť ideálnou kombináciou, ktorá by mala viesť k výraznému zníženiu externej dodávky z rozvodnej siete na dodávku tepla na prípravu teplej vody počas roka. Realita však nie je až taká jednoduchá, ako sa na prvý pohľad zdá. Príspevok ukazuje, do akej miery možno pri ohreve vody tepelným čerpadlom kryť potrebu elektrickej energie FV systémom. Príspevok predstavuje systém kombinujúci tepelné čerpadlo zem-voda a fotovoltický systém a s využitím počítačovej simulácie v TRNSYS [4] vyhodnocuje potenciálny prínos z pohľadu využitia produkcie FV systému na zníženie miestnej spotreby energie a zníženie energetickej náročnosti samotnej prípravy teplej vody v rodinnom dome. Prostredie TRNSYS umožňuje matematické modelovanie správania sa dynamických systémov, najmä komplexných energetických (tepelných, elektrických) sústav budov.
Ohrev vody tepelným čerpadlom
V analyzovanom prípade sa počítalo s odberovým profilom, ktorý charakterizuje denný odber teplej vody 206 l pri teplote 45 °C, výrazná ranná a večerná špička a ďalšie menšie odbery počas dňa (obr. 1). Ročný odber tepla v teplej vode je približne 3 060 kWh. Na analýzu sa vybralo tepelné čerpadlo zem-voda s výkonom 5,5 kW pri B0/W35, ktoré je napojené na zásobník teplej vody s definovaným objemom cez vnútorný rúrkový výmenník s definovanou plochou, umiestnený v dolnej polovici zásobníka.
![]() |
Obr. 1 Profil odberu teplej vody
Tepelné čerpadlo zem-voda sa všeobecne považuje za energeticky úspornejšie zariadenie než tepelné čerpadlo vzduch-voda, aj keď v oblasti prípravy teplej vody je ich celoročná efektivita v podstate rovnaká [5]. Schému systému prípravy teplej vody možno vidieť na obr. 2. Zásobník sa nabíja na teplotu 50 °C, termostatický zmiešavací ventil na výstupe zabezpečuje požadovanú teplotu 45 °C. V systéme prípravy teplej vody sa nepočíta s cirkuláciou teplej vody.
![]() |
Obr. 2 Schéma ohrevu vody tepelným čerpadlom
Najskôr sa analyzoval vplyv veľkosti zásobníka teplej vody na spotrebu elektrickej energie systému s tepelným čerpadlom na prípravu teplej vody. Pri danom tepelnom čerpadle sa počítačovou simuláciou hodnotila spotreba elektrickej energie v rámci jednotlivých kombinácií so zásobníkmi teplej vody pri rovnakých prevádzkových podmienkach. V tab. 1 sú uvedené parametre zásobníkov teplej vody podľa údajov prevzatých z technických listov výrobcu. Jednotne sa počítalo s výškou teplotného snímača v zásobníku v 70 % výšky zásobníka. Na samotnú simuláciu sa použili pokročilé modely zásobníka (typ 340), tepelného čerpadla (typ 250) a zemného vrtu (typ 451), dostupné v simulačnom prostredí TRNSYS.
![]() |
Spotreba elektrickej energie systému prípravy teplej vody tepelným čerpadlom sa pri voľbe rôznej veľkosti akumulačných zásobníkov pohybuje v rozpätí od 1 250 až po 1 280 kWh/rok, sezónny výkonnostný súčiniteľ SPF sa pohybuje na úrovni 2,4 až 2,5 (tab. 2).
![]() |
To je realistická hodnota potvrdená radom meraní pri reálnych inštaláciách menších aj väčších systémov [2, 3]. Z pohľadu neobnoviteľnej primárnej energie ako súhrnného hodnotiaceho kritéria používaného v súčasnosti pri budovách vychádza potom príprava teplej vody tepelným čerpadlom ako náročnejšia než v prípade solárneho termického systému s elektrickým dohrevom a omnoho náročnejšia než v prípade solárneho termického systému kombinovaného s plynovým kotlom (pri účinnosti 93 %). V tab. 3 vidieť porovnania pri solárnom termickom systéme s plochou 5 m2, ročným prínosom okolo 1 850 kWh a s pokrytím potreby tepla na prípravu teplej vody na úrovni asi 60 %.
![]() |
Ak sa ku konvenčnému systému prípravy teplej vody s tepelným čerpadlom pridá fotovoltický systém s rôznym inštalovaným výkonom, potreba elektrickej energie zo siete sa môže výrazne znížiť a adekvátne tomu sa zvýši aj sezónny výkonnostný súčiniteľ SPF ako ukazovateľ celkovej efektivity systému. Energetická náročnosť prípravy teplej vody s ohľadom na neobnoviteľnú primárnu energiu sa potom môže výrazne znížiť.
Kombinácia s FV systémom
Kombinácia prípravy teplej vody tepelným čerpadlom s FV systémom sa najskôr analyzovala ako konvenčné spojenie, kde FV systém v prípade súčasnej prevádzky s tepelným čerpadlom kryje časť jeho spotreby bez akejkoľvek regulačnej väzby. V tab. 4 sú uvedené výsledky bilancie spotreby elektrickej energie a hlavné sledované parametre pri referenčnom systéme (bez FV systému) a pri konvenčnej kombinácii s rozlične veľkým FV systémom (s inštalovanými výkonmi 1 kWp, 3 kWp a 6 kWp) vo variante so zásobníkom teplej vody s objemom 200 l. Okrem potreby elektrickej energie zo siete Wel a sezónneho výkonnostného súčiniteľa systému SPF sa sledovalo aj solárne pokrytie fFV, t. j. podiel využitej fotovoltickej elektriny na krytie potreby elektrickej energie a využitie produkcie fotovoltickej elektriny rFV ako pomer využitej FV elektriny a ročnej produkcie FV systému.
![]() |
S rastúcim inštalovaným výkonom je zrejmý aj nárast úspory, využitie produkcie FV systému sa však pohybuje pri všetkých variantoch okolo 10 %. Na zvýšenie využitia produkcie elektrickej energie sa ďalej počítalo s adaptívnou regulačnou stratégiou, ktorá prispôsobuje prevádzku tepelného čerpadla aktuálnemu výkonu FV systému. V prípade dosiahnutia definovanej prahovej hodnoty výkonu FV systému regulátor nútene spustí tepelné čerpadlo tým, že na monitorovanie požiadavky ohrevu vody na 50 °C použije teplotný snímač S2 v spodnej časti zásobníka (obr. 3). Cieľom je – v prípade dostatočnej produkcie elektrickej energie – ohriať celý objem nádrže na požadovanú teplotu bez významného využitia elektrickej energie zo siete.
![]() |
Obr. 3 Schéma tepelného čerpadla na ohrev vody (regulácia na adaptáciu prevádzky)
Zatiaľ čo elektrický príkon celého systému s tepelným čerpadlom sa pri nabíjaní zásobníka teplej vody na 50 °C pohybuje okolo hodnoty 2,2 kW, z výsledkov predstavenej simulačnej analýzy pri všetkých variantoch kombinácií výkonu FV systému a objemu zásobníka teplej vody (obr. 4) nevyplýva, že by táto hodnota mala byť prahovou hodnotou na zabezpečenie minimálnej potreby elektrickej energie systému odoberanej zo siete.
![]() |
Obr. 4 Výsledky optimalizácie prahovej hodnoty aktuálneho výkonu FV systému na nútené spustenie tepelného čerpadla na nabíjanie celého objemu zásobníka teplej vody
V podstate bez ohľadu na veľkosť zásobníka teplej vody je pri FV systéme s inštalovaným výkonom 6 kWp optimálnou prahovou hodnotou na spustenie nabíjania celého objemu zásobníka aktuálny výkon FV systému 1,25 kW, pri FV systéme s inštalovaným výkonom 3 kWp je to hodnota 1,0 kW a pri FV systéme s inštalovaným výkonom 1 kWp sa optimum pohybuje relatívne nezreteľne medzi hodnotami 0,50 a 0,75 kW.
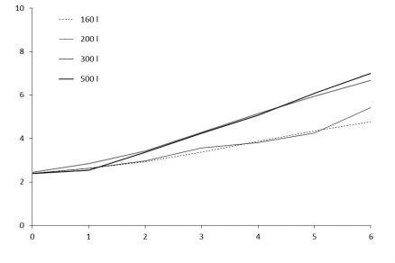
Pri použití optimalizovanej prahovej hodnoty výkonu FV systému na nútené spustenie tepelného čerpadla je na obr. 5 zobrazená závislosť sezónneho výkonnostného súčiniteľa SPF celého systému od inštalovaného výkonu FV systému. Sezónny výkonnostný súčiniteľ vyjadruje energetickú efektivitu celého kombinovaného systému.
![]() |
Obr. 5 Závislosť sezónneho výkonnostného súčiniteľa od inštalovaného výkonu FV systému
Závislosti sú pri objeme zásobníka 160 a 200 l v podstate zhodné, podobne pri objeme 300 a 500 l. Z grafu vyplýva, že optimálnym objemom zásobníka v danom prípade prípravy teplej vody tepelným čerpadlom s adaptáciou na výkon FV systému je 300 l. Väčší objem zásobníka teplej vody už neprináša významnú úsporu, menší objem zásobníka je pri vyšších inštalovaných výkonoch FV systému tiež menej úsporný.
![]() |
V tab. 5 vidieť podrobné výsledky pri vybraných výkonoch FV systému pri použití objemu zásobníka teplej vody 200 l (na porovnanie s výsledkami bez adaptácie prevádzky v tab. 4). Je zrejmé, že pri FV systéme s inštalovaným výkonom 1 kWp neprináša adaptívna prevádzka žiadnu výhodu v znížení spotreby elektrickej energie systému v porovnaní s konvenčným použitím FV systému. Pri variante FV systému 3 kWp sa spotreba zníži o 11 %. Najväčší prínos 32 % oproti konvenčnému prístupu má adaptácia prevádzky tepelného čerpadla pri veľkom FV systéme 6 kWp. Zvýšením objemu zásobníku na 300 l možno pri využití adaptácie prevádzky tepelného čerpadla podľa výkonu FV systému znížiť ročnú spotrebu elektrickej energie na prípravu teplej vody až na 458 kWh/rok (pri kombinácii s FV systémom 6 kWp).
Záver
Využitie FV systému v kombinácii s tepelným čerpadlom môže výrazne znížiť spotrebu elektrickej energie na účely prípravy teplej vody, ak sa využije tzv. adaptívna regulácia prevádzky tepelného čerpadla podľa aktuálneho výkonu FV systému. Adaptívna regulácia má význam predovšetkým pri použití FV systémov s vyšším inštalovaným výkonom, pri ktorých umožňuje znížiť potrebu elektrickej energie až o 30 % oproti konvenčnému využitiu elektrickej energie z FV systému. Prahová hodnota elektrického výkonu na adaptívnu reguláciu nekorešponduje s maximálnym prevádzkovým elektrickým príkonom systému s tepelným čerpadlom, v skutočnosti je omnoho nižšia – na úrovni približne 50 %.
Pri hodnotení z pohľadu neobnoviteľnej primárnej energie dochádza pri variante systému s tepelným čerpadlom so zásobníkom 300 l pri použití najväčšieho uvažovaného FV systému k nižšej energetickej náročnosti než pri kombinácii malého solárneho termického systému s plynovým kotlom. Potreba neobnoviteľnej primárnej energie je v tomto prípade len 1 374 kWh/rok pri použití iba 14 % ročne vyprodukovanej FV elektriny.
Ing. Yauheni Kachalouski, doc. Ing. Tomáš Matuška, PhD.
Autori pracujú v tíme Energetické systémy budov v Univerzitnom centre energeticky efektívnych budov ČVUT v Prahe.
Článok vznikol s finančnou podporou MŠMT v rámci programu NPU I č. LO1605.
Obrázky: autori
Literatúra
1. Krainer, R. – Matuška, T.: Efektivita provozu tepelných čerpadel v bytových domech,
V. sympozium Integrované navrhování a hodnocení budov 2014. 2014.
2. Matuška, T.: Přínosy tepelných čerpadel v pasivních domech. In: Pasivní domy 2012. Brno: Centrum pasivního domu, 2012, pp. 280 – 287.
3. Sedlář, J. – Krainer, R.: Zvýšení efektivity přípravy teplé vody tepelným čerpadlem v bytovém domě. Vytápění, Větrání, Instalace. 2016, 25(5), 274 – 279.
4. Transient System Simulation Tool – TRNSYS 17.1, The University of Wisconsin, Madison, http://sel.me.wisc.edu/trnsys.
5 Matuška, T. – Šourek, B.: Výpočet ročního provozu tepelného čerpadla intervalovou metodou podle TNI 73 0351. In: Topenářství, instalace, vol. XXXXVIII, no. 7, pp. 42 – 48, 2014.
Článok bol uverejnený v časopise TZB Haustechnik 1/2017.





















