Oslnenie z LED svietidiel vo vnútorných pracovných priestoroch
Hoci táto technológia prináša mnohé výhody, najmä vo vnútorných pracovných priestoroch treba brať do úvahy aj oslnenie, ktoré môže spôsobovať.
Jedným z faktorov hodnotenia kvalitatívnych parametrov vnútorných osvetľovacích sústav je oslnenie. Spôsobujú ho svietidlá, ktoré zapríčiňujú zrakovú nepohodu pracovníkov. Okrem topológie svietidiel osvetľovacej sústavy vo vzťahu k umiestneniu pracovných miest a k polohe pracovníkov ovplyvňuje tento parameter vo významnej miere aj priestorové rozloženie svetelného toku zo svietiacich častí svietidiel do priestoru, reprezentované krivkami svietivosti svietidiel.
Inovatívne technológie v svetelnej technike prinášajú väčšie výkony a energetickú úspornosť, no aj negatívnu stránku oslnenia, ktorú nemožno podceniť. LED svietidlá prešli za poslednú dekádu dynamickým procesom rýchleho rozvoja, pričom ich konštrukcia sa zásadne zmenila. Tento článok sa zaoberá problematikou oslnenia spôsobeného modernými LED svietidlami vo vnútorných pracovných priestoroch s ohľadom na ich konštrukčné a fotometrické vlastnosti. Svetelnotechnický návrh osvetľovacích sústav musí okrem kvantitatívnych parametrov spĺňať aj kvalitatívne aspekty.
Jedným z nich je neodmysliteľne zraková pohoda vo vnútorných pracovných priestoroch, ktorá má byť zabezpečená správnym návrhom osvetľovacej sústavy s ohľadom na zrakový výkon pracovníkov. Zanedbanie istých zásad pri návrhu môže potom negatívne ovplyvniť nielen výkon pracovníkov, ale v neposlednom rade aj bezpečnosť pri práci. Oslnenie je nepríjemný pocit vyvolaný príliš jasnými plochami v zornom poli pozorovateľa. Vzniká tak, že pri presvetlenej sietnici sú bunky citlivé na svetlo nadmerne vzrušené a rozširujú vzruch aj na susedné bunky, čím sa rozmazáva obraz a strácajú sa detaily.
Oslnenie ovplyvňuje významnou mierou kvalitu práce a jej bezpečnosť. Miera oslnenia sa hodnotí aj pri verifikácii osvetľovacích sústav vnútorných pracovných priestorov v súlade s legislatívnymi požiadavkami vyhlášky MZ SR č. 541/2007 Z. z. o podrobnostiach o požiadavkách na osvetlenie pri práci v znení neskorších predpisov, ktorých splnenie kontroluje Úrad verejného zdravotníctva [1].
Nepriaznivý vplyv oslnenia na zrak človeka sa prejavuje nepríjemnými až rušivými stavmi, v niektorých prípadoch dokonca ujmou na zdraví. Z toho dôvodu sa oslnenie delí na psychologické a fyziologické. Typ oslnenia, ktorý môže vnímať pozorovateľ, sa môže líšiť, a to najmä v závislosti od konkrétnej situácie, preto ho možno rozdeliť ďalej na priame, adaptačné, závojové a pod. V tomto článku sa venujeme podrobnejšie priamemu oslneniu zo svietidiel vo vnútorných osvetľovacích sústavách s LED svetelnými zdrojmi.
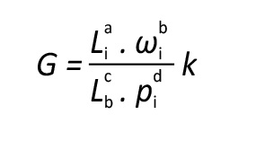
Miera oslnenia sa kvantifikuje objektívnymi systémami hodnotenia, ktoré sa zaviedli v priebehu minulého storočia na hodnotenie oslnenia zo svietidiel osvetľovacích sústav. Filozofia je pri všetkých systémoch jednotná, vo všeobecnosti ju vyjadruje vzťah (1)
![]() |
kde
Lb je jas pozadia (cd/m2),
Li – jas i-tého zdroja oslnenia v smere k oku pozorovateľa (cd/m2),
ωi – priestorový uhol, pod ktorým je vidieť i-tý oslňujúci zdroj (sr),
pi – Guthov činiteľ polohy pre i-tý zdroj oslnenia (oslňujúce svietidlo),
k – prípadná konštanta úmernosti závislá od zvolených jednotiek,
a, b, c, d – exponenty, ktorých veľkosti sa udávajú rôzne.
Zo vzťahu (1) možno vidieť, že hodnota oslnenia závisí od jasu pozadia, jasu oslňujúceho zdroja (v našom prípade svietiaca časť každého svietidla v osvetľovacej sústave) a takisto od polohy pozorovateľa pri bežnom smere pohľadu, čo napríklad v kancelárskych priestoroch predstavuje smer rovnobežný s podlahou vo výške na úrovni sediaceho človeka, tzn. asi 1,5 m. Graficky možno tento prípad znázorniť pomocou obr. 1. Parameter G vyjadruje hodnotu oslnenia z konkrétneho systému, pričom platí, že čím je hodnota G väčšia, tým je väčšia aj miera oslnenia.
Obr. 1 Hodnotenie oslnenia zo svietidiel pri sediacom človeku [6]
UGR metóda
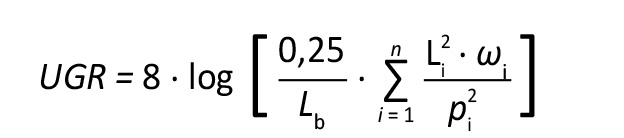
V roku 1995 sa zaviedol systém hodnotenia oslnenia vo vnútorných pracovných priestoroch pomocou jednotnej miery oslnenia UGR (z angl. Unified Glare Rating). Tento jednotný systém hodnotenia oslnenia osvetľovacích sústav je zakotvený aj v normách, ktoré sa zaoberajú zásadami správneho návrhu vnútorných osvetľovacích sústav ako STN EN 12464-1 Osvetlenie pracovísk. Časť 1: Vnútorné pracoviská [2], pričom projektant musí pri návrhu túto metodiku použiť. Hodnotu UGR vyjadruje vzťah (2)
![]() |
kde
Lb je jas pozadia (cd/m2),
L – jas svietiacich častí každého svietidla v smere očí pozorovateľa (cd/m2),
ω – priestorový uhol svietiacej časti každého svietidla vzhľadom na oči pozorovateľa (sr),
p – Guthov činiteľ polohy pri každom jednotlivom svietidle, ktorý závisí od jeho odklonu zo smeru pohľadu.
Aj v tomto prípade reprezentuje mieru oslnenia bezrozmerné číselné vyjadrenie a opäť platí, že čím je hodnota UGR vyššia, tým väčšej miere oslnenia je človek z vnútornej osvetľovacej sústavy vystavený. Poloha očí pozorovateľa sa berie vo vzťahu k stredu svietiacej časti svietidla, nie k jej kraju, ako je to pri niektorých iných systémoch, ktoré sa používajú na hodnotenie oslnenia. Preto sa index polohy p (obr. 2) určuje podľa Luckiesha a Gutha. Všetky rozmerové údaje sa vzťahujú na stred svietidla. Z polohy svietidla a pozorovateľa sa stanovujú rozmerové pomery T/R a H/R, kde
R je vzdialenosť priemetu svietidla v smere pohľadu (m),
T – horizontálny posun svietidla z priameho pohľadu (m),
H – výška svietidla nad okom pozorovateľa (m).
Hoci bola metodika UGR vytvorená v časoch, keď sa ešte LED technológie v osvetľovacích sústavách nepoužívali, za istých podmienok možno použiť tento systém aj na hodnotenie oslnenia z vnútorných osvetľovacích sústav s LED svietidlami. Hodnotiaci systém UGR pre vnútorné osvetľovacie systémy je podrobnejšie opísaný v odporúčaní medzinárodnej osvetľovacej komisie CIE 117: 1995 [3]. V normách sú pri jednotlivých aplikáciách stanovené hraničné hodnoty činiteľa oslnenia UGR. Tie sa musia vyberať z menovitého radu UGR, ktorý je 10-13-16-19-22-25-28. Tieto hodnoty predstavujú najmenšie pozorovateľné rozdiely v oslnení medzi jednotlivými stupňami v menovitom rade UGR.
Oslnenie z LED svietidiel
LED svietidlá sú v súčasnosti najviac sa rozvíjajúcou inovatívnou technológiou vo svetelnej technike za ostatných 10 rokov. Modernizácia alebo rekonštrukcia starých osvetľovacích sústav sa vykonáva práve s týmito svietidlami. Ich potenciál oproti starším svietidlám je neporovnateľný z viacerých hľadísk – či už ide o fotometrické parametre, kolorimetrické parametre, energetickú úsporu, alebo aj o smerovanie svetelného toku z LED svetelných zdrojov do priestoru. Avšak aj pri tejto technológii si treba dávať pri jej použití v osvetľovacích sústavách pozor. Najmä pri vnútorných pracovných priestoroch treba brať ohľad práve na oslnenie, ktoré môžu spôsobiť použité LED svietidlá. V začiatkoch nasadzovania LED technológie v svetelnej technike vo vnútorných pracovných priestoroch museli tento problém riešiť aj výrobcovia svietidiel.
LED svetelný zdroj (tzv. LED čip) je zdrojom vysokého jasu z veľmi malej plochy, čo v celkovom dojme, ak je v svietidle viac týchto svetelných zdrojov bez akéhokoľvek použitia ďalších optických častí, spôsobuje pozorovateľovi neúmerné osvetlenie z dôvodu rovnomernosti jasu svietiacej plochy takéhoto svietidla (obr. 3) [4]. V takomto prípade metodiku UGR nemožno aplikovať, oslnenie z takýchto svetelných zdrojov je ešte stále predmetom výskumu.
![]() |
![]() |
Obr. 3 Jasová analýza LED svietidla bez difúzora (vľavo) a s difúzorom [4]
Uvedený problém sa však sčasti vyriešil tým, že sa na svietiacu plochu použili rôzne optické časti, ako napríklad difúzory, mikroprizmatické difúzory, šošovky a pod. Tým sa zabezpečila čo najväčšia rovnomernosť svietiacej plochy, takže zo svietiacej plochy svietidla vymizol kontrast medzi svetlými bodmi na tmavom pozadí, čo spôsobovalo pozorovateľovi nepriaznivý stav oslnenia. Pri týchto prípadoch už možno použiť prístup metódy hodnotenia oslnenia UGR, avšak ani použitie optických častí na svietiacej časti svietidla úplne nevyriešilo problém oslnenia z LED svietidiel. Ako možno vidieť na obr. 2, rozsah kritického uhla pri sediacom človeku v kancelárskom prostredí je od 55° do 75°. To sa týka priestorových charakteristík svietidla, konkrétne rozloženia svetelného toku do priestoru reprezentovaného krivkou svietivosti svietidiel. Tá môže byť pri použití týchto optických častí rôznorodá, pričom významnou mierou ovplyvňuje mieru oslnenia vo vnútorných pracovných priestoroch.
![]() |
![]() |
Obr. 2 Geometrické priestorové usporiadanie na určenie indexu polohy pozorovateľa
V rámci kancelárskeho prostredia je dobré uviesť príklad svietidla s rozmermi 600 × 600 mm, veľmi často požívaného do podhľadu ako tzv. „kancelárske svietidlo“, ktoré možno vidieť na obr. 4 v LED vyhotovení s difúzorom spolu s krivkou svietivosti pre roviny C0-C180 a C90-C270. Takéto svietidlo však spôsobuje pri použití v praxi vysokú mieru oslnenia.
![]() |
![]() |
Obr. 4 Kancelárske LED svietidlo do podhľadu s opálovým difúzorom
Možno ho vyjadriť tabuľkou hodnôt UGR, ktorá sa uvádza na hodnotenie miery oslnenia zo svietidiel v súlade s odporučením dokumentu CIE 117: 1995 [3] a je uvedená na obr. 6.
Obr. 6 UGR tabuľka pre LED svietidlo s opálovým difúzorom
Za pomoci tabuľky UGR možno pri danom svietidle vyjadriť hodnoty miery oslnenia v rámci viacerých variantov orientácie svietidla vo vzťahu k polohe očí pozorovateľa. Pri uvedenom konkrétnom príklade vidieť, že hodnoty UGR nevyhovujú normatívnym požiadavkám na kancelárske priestory, pretože dovolená horná hranica UGR je 19. To dokazujú aj viaceré aplikované výskumy s reálnymi pozorovateľmi, realizované pomocou dotazníkov.
![]() |
![]() |
Obr. 5 Kancelárske LED svietidlo s vnorenými LED modulmi a mechanickou zábranou oslnenia
Mieru oslnenia možno zmierniť použitím vhodného optického systému, niekedy v kombinácii s mechanickou časťou zábrany oslnenia, ktorý tvaruje krivku svietivosti tak, že sa eliminujú kritické uhly vyžarovania svietiacej časti svietidla spôsobujúce pozorovateľovi nepriaznivý stav priameho oslnenia. Ako príklad možno uviesť opäť svietidlo určené do administratívnych priestorov vyobrazené na obr. 5. Aj pri tomto svietidle možno vyjadriť tabuľkou UGR (obr. 7) rôzne variácie polohy pozorovateľa a svietiacej časti svietidla. Vidieť, že hodnoty UGR pre kancelárske priestory sú vyhovujúce a v súlade s normou.
Obr. 7 UGR tabuľka pre LED svietidlo s vnorenými LED modulmi a mechanickou zábranou oslnenia
Záver
V článku sa prezentuje problematika oslnenia z LED svietidiel používaných v osvetľovacích sústavách vnútorných pracovných priestorov, konkrétne v administratívnych priestoroch, za pomoci UGR tabuľkovej metódy vyjadrujúcej situáciu, ktorá môže nastať vzhľadom na pozíciu pozorovateľa k svietiacej časti svietidla. Tieto príklady možno uviesť aj pri iných vnútorných osvetľovacích sústavách, napríklad v priemysle, kde je analogický prístup hodnotenia UGR tabuľkovou metódou. Je však nevyhnutné podotknúť, že pri návrhu možno posúdiť mieru oslnenia pri konkrétnom prípade len vtedy, ak je zadefinovaná poloha pozorovateľa v konkrétnom pracovnom priestore pomocou výpočtových programov používaných pri návrhu osvetlenia. V takom prípade možno individuálne vypočítať hodnotu UGR a na základe návrhu definovať pracovné pozície aj pri tých svietidlách, ktoré vyšli pri tabuľkovej metóde UGR vo väčšej miere ako nevyhovujúce. Na záver je dobré spomenúť, že pri použití iných optických častí (napr. mikroprizmatických difúzorov alebo vhodných šošoviek) namontovaných na svietiacej časti svietidla možno eliminovať kritické uhly vyžarovania, čím sa pri danom svietidle dosiahnu vyhovujúce hodnoty UGR.
Obrázky: autori
Literatúra
Vyhláška MZ SR 541/2007 Z. z. o podrobnostiach o požiadavkách na osvetlenie pri práci v znení vyhlášky č. 206/2011 Z. z., ktorou sa mení a dopĺňa táto vyhláška.
CEN 2012, STN EN 12464-1. Osvetlenie pracovísk. Časť 1: Vnútorné pracoviská. Brusel: CEN TC 169 Svetlo a Osvetlenie.
CIE 1995. CIE 117: 1995. Discomfort glare of interior lighting. Vienna: CIE.
Che-Wen Chiang, Yu-Kai Hsu, Jui-Wen Pan: Design and demonstration of high efficiency anti-glare LED luminaires for indoor lighting. Optics Express, Február 2015; Vol. 23, No. 3, pp. A15 – A26.
OSA/AIP, Handbook of Photometry, Edited by Casimer DeCusatis, Chapter 1 (1997).
Dostupné online: https://www.licht.de/.
Mgr. Roman Dubnička, Ing. Lukáš Lipnický
Autori pôsobia v Ústave elektroenergetiky a aplikovanej elektrotechniky na FEI STU v Bratislave.
Recenzoval: prof. Ing. Alfonz Smola, PhD.
Článok bol uverejnený v časopise TZB Haustechnik 3/2017.









![Obr. 1 Hodnotenie oslnenia zo svietidiel pri sediacom človeku [6]](/wp-content/uploads/images/fotogaleria/fotogalerie/tzb/led_svietidla_a_oslnenie_/11.jpg)

![Obr. 3 Jasová analýza LED svietidla bez difúzora (vľavo) a s difúzorom [4]](/wp-content/uploads/images/fotogaleria/fotogalerie/tzb/led_svietidla_a_oslnenie_/32.jpg)
![Obr. 3 Jasová analýza LED svietidla bez difúzora (vľavo) a s difúzorom [4]](/wp-content/uploads/images/fotogaleria/fotogalerie/tzb/led_svietidla_a_oslnenie_/31.jpg)











