Efektívne vetranie podzemných garáží
Pri komplexnom pohľade na vec sa dajú nájsť efektívne riešenia. V poslednom čase sa čoraz viac hovorí o zelených budovách, certifikácii podľa BREAM, LEEDS a iných certifikačných kritérií. Budovy sú pritom jedným veľkým celkom a ich prevádzka sa dnes dotýka už všetkých oblastí TZB, medziiným aj prevádzkového vetrania garáží a ich požiarneho vetrania. Najmä v prípade nákupných centier je prirodzené realizovať tieto dva systémy ako jeden obojživelný systém, v ktorom konajú hlavnú prácu odsávacie ventilátory. Čo sa musí pri ich návrhoch zohľadniť?
Ventilátor je lopatkový stroj, ktorý slúži na dopravu vzdušnín pri pomerne nízkom pomere ich stlačenia (okolo 1,0 – 1,1). Podľa smeru prietoku vzdušniny ich možno rozdeliť na radiálne, axiálne, diagonálne a diametrálne. Podľa dopravného tlaku ich delíme na nízkotlakové (do 1 000 Pa), strednotlakové (1 000 – 3 000 Pa) a vysokotlakové (nad 3 000 Pa). Na účely vetrania garáží prichádzajú do úvahy hlavne nízko-, prípadne strednotlakové axiálne ventilátory.
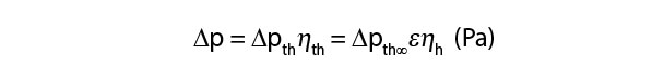
Pri prechode vzdušnín ventilátorom dochádza k tlakovým stratám z dôvodu trenia a k miestnym tlakovým stratám (rôzne tvarovky a potrubné prvky). Samotný ventilátor predstavuje stroj s daným počtom lopatiek, pričom pri prechode vzduchu cez obežné koleso dochádza k určitým stratám. Tlakové straty potrubnou sieťou opisuje hydraulická účinnosť hh (–). Parameter e vyjadruje pomer medzi teoretickým dopravným tlakom ventilátora, ktorý má konečný počet lopatiek (Dpth), oproti dopravnému tlaku ideálneho ventilátora s nekonečným počtom lopatiek (Dpth∞). Je určený vzťahom
Pri výpočte dopravného tlaku skutočného ventilátora platí
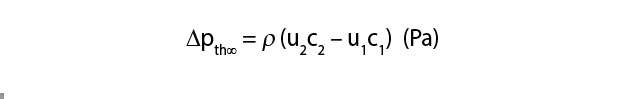
Teoretický dopravný tlak ventilátora s nekonečným počtom lopatiek vyjadruje rovnica
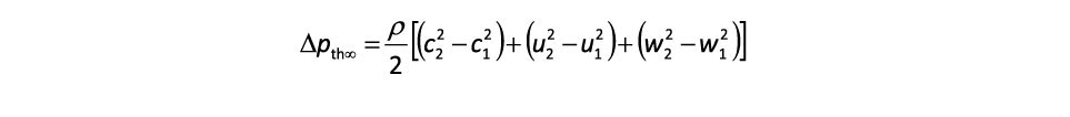
Po úprave rovníc dostaneme veľkú ventilátorovú rovnicu
kde u1 je obvodová rýchlosť na malom priemere obežného kolesa,
u2 – obvodová rýchlosť na veľkom priemere obežného kolesa,
c1u – priemet vektora absolútnej rýchlosti c1 do smeru obvodovej rýchlosti,
c2u – priemet vektora absolútnej rýchlosti c2 do smeru obvodovej rýchlosti,
w1 – relatívna rýchlosť na malom obvodovom kolese,
w2 – relatívna rýchlosť na veľkom obvodovom kolese.
Práve vďaka tejto úprave možno určiť podiel statického a dynamického tlaku z celkového tlaku. Dynamický tlak je daný rozdielom štvorcov absolútnych rýchlostí c. Rozdiel relatívnych rýchlostí (w) a obvodových rýchlostí (u) hovorí o veľkosti statickej zložky tlaku (predstavuje všetok dispozičný tlak potrebný na prekonanie hydraulických odporov a samotnej potrubnej siete). V prípade axiálnych ventilátorov sa obvodová rýchlosť u1 (na malom obežnom kolese) rovná obvodovej rýchlosti u2 a vzduch prúdi celým obežným kolesom, takže vzťah (3) sa potom mení na vzťah (5), pričom platí že u = u1 = u2
Ak by sme vyjadrili veľkú ventilátorovú rovnicu (4) graficky (obr. 1), na os x by sme naniesli pomer c2u/u2, ktorý opisuje sklopenie lopatky k veľkému obežnému kolesu. Na osi y je vynesené celkové tlakové číslo Ψth, ktoré udáva pomer dopravného a dynamického tlaku. Najvyššie tlakové číslo môžu dosahovať ventilátory s dopredu zahnutými lopatkami, ale pri nulovej statickej zložke Ψthstat.
A tu sa dostávame k podstate problému. Pri návrhu ventilátora musíme poznať presný pracovný bod ventilátora – t. j. dopravované množstvo a hydraulické straty potrubnou sieťou. Teoreticky možno skončiť len návrhom ventilátora pre daný pracovný bod a neriešiť jeho celkovú účinnosť, hluk ani stabilitu prevádzky. Ak však ide o ventilátor určený aj na prevádzkové vetranie, potom je namieste položiť si otázku, akú má účinnosť, kde sa nachádza a či pracuje v stabilnej oblasti, resp. aké sú jeho prevádzkové náklady a či sa jeho návrh nedá riešiť inak. Zvyčajne totiž pri samotnom návrhu ventilátora hrá úlohu iba jeho cena. A je až prekvapujúce, aké ťažké je vysvetliť investorom, že problematika je o niečo širšia a nejde v nej len o cenu fabrikátu.
Obr. 1 Tlakové čísla ako funkcie pomeru rýchlostí (Zdroj: [6])
Pri pohľade na tlakové čísla ventilátorov nás možno prekvapí, že vysokotlakový ventilátor má nízke tlakové číslo a, naopak, nízkotlakový ventilátor má vysoké tlakové číslo (t. j. podiel statickej zložky na celkovom dopravnom tlaku je minimálny). O doprave množstva vzdušniny hovorí objemové číslo j. Graf vzájomnej závislosti tlakového čísla Ψth a objemového čísla j je veľmi užitočnou pomôckou, lebo vypovedá o správaní sa ventilátorov. Nízkotlakový radiálny ventilátor s lopatkami zahnutými dopredu má vysoké tlakové číslo v pomerne veľkom rozsahu objemových čísel. Naopak, ak si zoberieme nízkotlakový axiálny ventilátor, krivka je pomerne strmá v úzkom rozsahu objemových čísel. Tlakové charakteristiky axiálnych ventilátorov sú na obr. 2. Ideálny návrhový bod je na mieste, kde ventilátor dosahuje maximálnu účinnosť. Návrhový bod ventilátora je pritom miesto, kde sa pretne krivka ventilátora s krivkou VZT systému.
Obr. 2 Tlakové charakteristiky axiálnych ventilátorov (Zdroj: [6])
Legislatíva a prax
Problémom pri návrhu ventilátora je platná legislatíva pre požiarne vetranie garáží, ktorú zastupuje prevažne anglická norma BS 7346-7: 2006 [1], resp. jej novela BS 7346-7: 2013 v kontexte smernice EÚ č. 2009/640/EC (ErP) o energetickej účinnosti. Ventilátor nemôže byť vyhotovený s EC motorom (elektronicky komutovaný), môže byť len v AC vyhotovení (asynchrónne komutovaný) s frekvenčným meničom (IE2). Z ekonomických dôvodov sa navrhuje systém, ktorý je takpovediac obojživelný, t. j. slúži na prevádzkové vetranie garáží, aj na požiarne vetranie garáží. Ak chceme splniť požiadavky platnej legislatívy, musíme brať do úvahy STN 73 6058: 1988 [2], ktorá počíta s hodnotou 300 m3/hod/PM (vychádza z emisií – vznetový teplý motor: 5,0 g/h voz, zážihový teplý motor: 20 g/h voz). Alternatívou je výpočet podľa prílohy b) tejto normy [2].
Rovnako možno uvažovať s ČSN 73 6058 [3], ktorá je aktualizáciou federálnej normy [2] a je omnoho presnejšia. Na porovnanie – anglická norma BS počíta len so strohou 6-násobnou výmenou objemu vzduchu a počas 1 hod. STN [2] predpisuje množstvo bez ohľadu na okolnosti, resp. podľa prílohy b) možno toto množstvo upraviť s ohľadom na hodinovýmenu na parkovacom mieste. Asi najpresnejšia je práve ČSN [3], ktorá zohľadňuje aj trasu vozidla, sklon rámp, voľnobeh motora a emisie. Ak počítame s jednopodlažnou podzemnou garážou, je to v poriadku, ak však ide o viacpodlažnú podzemnú garáž, jedinú reálnu hodnotu ponúka výpočet podľa ČSN [3].
Rôzne režimy = rôzne požiadavky. Čo s tým?
V nákupných centrách má zvyčajne jedno z podlaží v prenájme veľký investor (napríklad telefónny operátor), ktorý prevádzkuje parking v úplne inom režime, ako sa prevádzkujú zvyšné podlažia. To je skutočnosť, ktorá sa do návrhu zvyčajne nedostane. V projekčnej praxi potom čelíme výzve skĺbiť požiadavky na rôzne režimy prevádzkovania jednotlivých podlaží podzemného parkingu a na požiarne vetranie, ktoré je výrazne objemovo náročnejšie (10-násobná výmena vzduchu v prípade tzv. Smoke clearance efektu). Z ekonomických dôvodov sa zvykne pri návrhu uvažovať aj s požiarnym vetraním veľkých nájomcov cez tú istú inštaláciu. Vo výsledku tak čelíme trom rôznym požiadavkám – prevádzkové vetranie parkingu (pri rôznych požiadavkách na jednotlivé podlažia), požiarne vetranie parkingu a požiarne vetranie nájomnej jednotky.
Obr. 3 Riešením je paralelná prevádzka viacerých axiálnych ventilátorov na spoločnej stúpačke. (Foto: autor)
Len na porovnanie – pri plošnej výmere približne 10 000 m2 podzemného parkingu funguje prevádzkové vetranie na CO v objeme okolo 40 až 60 000 m3/hod, no požiarne vetranie až v objeme okolo 200 – 240 000 m3/hod. Ak je na spoločnej odvodnej stúpačke potrubný rozvod pri tzv. kotevných tenantoch, zvyčajne má úplne iný pracovný bod – najčastejšie okolo 800 Pa (pstat). Pracovný bod ventilátora pre garáž je však okolo 120 – 200 Pa (pstat). Jedinou reálnou alternatívou je potom prevádzka jedného, resp. viacerých ventilátorov na spoločnej stúpačke pomocou frekvenčného meniča. Ani frekvenčný menič (FM) však nie je všeliek, pretože v prípade troch podzemných podlaží sa CO simultánne nezvýši na všetkých podlažiach v rovnakom čase. Môže nastať situácia, že na 1. PP sa aktivuje druhý stupeň CO, na 2. PP prvý alebo žiadny (menšia početnosť výmeny vozidiel) a na 3. PP panuje počas dňa nemenná situácia – autá prišli ráno a odídu poobede.
Ak sa FM riadi len stupňom CO a na jednotlivých podlažiach sa použijú vzhľadom na riešenie projektu PO len požiarne odolné dymové klapky (s certifikáciou podľa STN EN 13 501-4 + A1 [4]), je doregulované. Motor servopohonu klapky sa zvyčajne dodáva so skokovou reguláciou, teda polohou otvor/zatvor. A tak sa celý systém rozbehne na vyššie otáčky (posuvné a odsávacie ventilátory na danom podlaží počítajú s dvomi stupňami CO de facto v celej garáži). Riešením sú dymové (ZOTaSH) klapky s modulovanou polohou servopohonu a spojitou reguláciou (4 – 12 mA) s pridaním riadiaceho systému. Takto sa dajú jednoducho sledovať výlučne požiadavky príslušného podlažia – zatvorením klapiek na 2. PP a 3. PP sa použije predmetný vzduchový výkon na aktivované podlažie. Prevádzka sa stane okamžite adresnejšou a efektívnejšou.
Riešiť treba príčinu, nie dôsledky
Uvedeným spôsobom sa však rieši len skutkový stav, nie to, čo ho vyvolalo – totiž samotný pohyb vozidiel po podlaží s cieľom nájsť voľné miesto. V honbe za parkovacím miestom dochádza k nezmyselnému jazdeniu, a tým zvyšovaniu koncentrácie CO. Na nižšom podlaží môžu byť pritom voľné rádovo ďalšie až desiatky parkovacích miest. Možno by stačil len navigačný systém namiesto strohej informácie o počte zostávajúcich voľných parkovacích miest. V letných mesiacoch sa diskomfort z CO snúbi aj s citeľnou záťažou chladnúcich motorov, prípadne pri letných dažďoch aj s latentným teplom [6, 7, 8,]. Obslužný personál to zvyčajne rieši tak, že systém spustí ‚ručne‘, mimo MaR. Pritom by možno stačilo implementovať zopár tepelných a vlhkostných senzorov a definovať okrajové podmienky. Netreba inštalovať prevratné technológie, len rozumne integrovať MaR do existujúcich inštalácií, čo by citeľne znížilo prevádzkové náklady. Mnohí majú skúsenosť s jazdou podzemnou garážou, z ktorej je umenie nájsť cestu von (príkladov je dosť). Na výkresoch je to pritom také jasné…
Záver
Na záver by som sa rád odvolal na výborný článok Sedem divov civilizovaného bývania [5]. Na základe svojich skúseností by som tiež chcel zdôrazniť, že ak inštalujeme technológie pre technológie, uniká nám pointa. V hodnotení BREAM hodnotíme napríklad počet státí pre bicykle, ale to neznamená, že na ne ľudia vysadnú. Riešime následok – t. j. koncentráciu CO, neriešime však jeho príčinu. Ak by sa už v štádiu návrhu rozvinula otvorená diskusia o tom, čo sa od systému očakáva, dokážeme ho urobiť efektívnejším. Systém navrhujeme na špičkový stav, ktorý nastane možno dva – tri dni v roku, ale obrovské nákupné centrá na periférii miest (navrhnuté na tento špičkový stav) nedokážeme tých zvyšných 362 dní v roku naplniť. Prevádzkové náklady ventilátorov zostanú napriek tomu rovnaké, bez ohľadu na počet zaparkovaných vozidiel, rovnako ako záťaž prostredia vyvolaná ich prevádzkou [7, 8]. Z nášho pohľadu je to teda práve ten priestor, kde sa treba zamyslieť skôr, než začneme stavať.
Foto a obrázky: archív autora , isifa/Shutterstock
Literatúra
- BS 7346-7:2013 Components for smoke and heat control systems: Part 7.
- STN 73 6058: 1988 Vetranie hromadných garáží.
- ČSN 73 6058: 2011 Jednotlivé, řadové a hromadné garáže.
- STN EN 13 501-4: 2010 Klasifikácia požiarnych charakteristík stavebných výrobkov a prvkov stavieb, časť 4.
- Idbjournal, 1/2015 ročník V., str.32 – 34.
- Székyová, M. – Ferstl, K.: Vetranie a klimatizácia: Bratislava: JAGA Group, 2004.
- Straková, Z. a kol.: Technické zariadenia budov 3. Vetranie a klimatizácia – cvičenia. Bratislava: STU, 2015. 288 s.
- Straková, Z. – Hojer, O.: Priemyselná vzduchotechnika – prednášky. 1. časť. Bratislava: STU 2016.
Článok bol uverejnený v časopise TZB HAUSTECHNIK.









![Obr. 1 Tlakové čísla ako funkcie pomeru rýchlostí (Zdroj: [6])](/wp-content/uploads/images/fotogaleria/fotogalerie/tzb/efektivne_vetranie_podzemnych_garazi_foto/obr-2-VLAVO.jpg)
![Obr. 2 Tlakové charakteristiky axiálnych ventilátorov (Zdroj: [6])](/wp-content/uploads/images/fotogaleria/fotogalerie/tzb/efektivne_vetranie_podzemnych_garazi_foto/obr-1-VPRAVO.jpg)





