Tepelnoizolačná vlastnosť izolačného skla
Tepelnoizolačná vlastnosť izolačného skla a možnosti jej overenia in situ. Sú tepelnoizolačné vlastnosti izolačného skla po dodaní na stavbu alebo zabudovaní do stavby skutočne také, ako ich deklaruje výrobca?
Izolačné sklá sú v súčasnosti neodmysliteľnou súčasťou modernej výstavby. Skladajú sa z dvoch alebo troch tabúľ skla v hrúbkach a druhoch zodpovedajúcich funkčným, mechanickým a estetickým nárokom. Vzdialenosť medzi tabuľami skla vymedzuje rôzne široký dištančný profil naplnený vysúšacím prostriedkom – molekulovým sitom, ktorý odstraňuje vlhkosť a vyrovnáva tlak v dutine medzi sklami. Obvodové spojenie tabúľ skla a dištančného profilu je zabezpečené adhéznym, trvale plastickým tmelom, vonkajší okraj izolačného skla je po celom obvode utesnený trvale pružným tmelom, ktorý zabraňuje prenikaniu vlhkosti do dutiny.
S cieľom zvýšiť tepelnoizolačné vlastnosti sa dutina medzi sklami vypĺňa inertným plynom (napr. argónom, kryptónom). V ostatných rokoch došlo k najvýznamnejším zmenám najmä v použití materiálu na dištančný profil. Pôvodné hliníkové rámčeky už neodporúča STN 73 0540-2: 2012, nahrádzajú ich oceľové, antikorové alebo najnovšie plastové tepelnotechnicky zlepšené dištančné rámiky. Tepelnoizolačné vlastnosti izolačného skla sú spochybňované hlavne poukazovaním na vplyv zlyhania ľudského (niekedy aj technického) faktora pri výrobe, čo sa najčastejšie spája s únikom inertného plynu.
Súčiniteľ prechodu tepla a súčasné poznatky
Najznámejšou charakteristickou vlastnosťou izolačných skiel je súčiniteľ prechodu tepla (Ug). Hodnota súčiniteľa prechodu tepla udáva tepelný tok (t. j. tepelná strata v zimnom období), ktorý sa šíri jedným štvorcovým metrom dielca pri teplotnom rozdiele vzduchu medzi interiérom a exteriérom jeden kelvin (K). Mernou jednotkou je W/(m2 . K). Čím je táto hodnota nižšia, tým je lepšia tepelná izolácia izolačného skla. Aj keď nie je jedinou charakteristickou vlastnosťou izolačného skla, je iste najdiskutovanejšou, ale aj najviac investormi a užívateľmi okien spochybňovanou. Zvýšenú kondenzáciu vodnej pary na povrchu skla užívatelia často pripisujú nedostatočnej koncentrácii alebo absencii plynu v priestore medzi sklami. Prispieva k tomu skutočnosť, že sú len veľmi obmedzené možnosti jej priameho merania na reálnom rozmere okna alebo zasklenej steny, či už v laboratóriu, alebo na stavbe.
Súčiniteľ prechodu tepla izolačného skla je možné zistiť výpočtom podľa EN 673 [7] alebo meraním podľa STN EN 674 [8], prípadne STN EN 675 [9]. Ide o meranie vzorky – prototypu – daného notifikovanej osobe na počiatočnú skúšku, nie každého jedného dodaného kusa izolačného skla. Harmonizovaná EN 1279-5+A1 ukladá vyjadrovať Ug výpočtom, t. j. podľa EN 673. Postup podľa EN 674 alebo EN 675 sa môže použiť len vtedy, ak nie je možné Ug stanoviť výpočtom. Ani jeden z týchto spôsobov nie je použiteľný na konkrétnom výrobku. Výpočet sa použije, ak nevieme, aká koncentrácia inertného plynu je v medzisklenom priestore, a meranie podľa EN 674 alebo EN 675 zas z dôvodu obmedzeného rozmeru vzorky (750 × 750 mm) vkladaného do skúšobného zariadenia. Hodnoty súčiniteľa prechodu tepla izolačného skla Ug, ktoré možno očakávať pri rôznych koncentráciách plynu, udávajú podklady niektorých výrobcov [6] alebo ich možno zistiť pomocou programu Window 6.3 [1]. K podobným výsledkom je možné dospieť aj voľne dostupným programom Calumen. Problémom zostáva zistenie koncentrácie plynu v priestore medzi sklami pri už zabudovanom okne. Meradlo koncentrácie plynu nie je bežne dostupné.
Združenie SLOVENERGOokno vlastní meradlo SPARKLIKE v2, ktorým je možné merať koncentráciu plynu nedeštruktívnou metódou (obr. 1). Problémom je meranie koncentrácie plynu v trojsklách alebo farbených izolačných sklách, pri ktorých nie je toto meradlo vhodné. Tu je k dispozícii iba deštrukčná metóda, pri nej sa vyberie izolačné sklo z rámu krídla okna, navŕta sa otvor s priemerom približne 3 mm a odoberie (odsaje) sa vzorka plynu na analýzu. Keďže súčiniteľ prechodu tepla izolačného skla závisí okrem koncentrácie plynu aj od šírky medzisklovej medzery, podmienkou na úspešné zistenie Ug je schopnosť zmerať šírku tejto medzery. K dispozícii je laserové meradlo na obr. 4. Na zistenie súčiniteľa prechodu tepla nepriehľadných konštrukcií v nestacionárnych podmienkach sa niekedy používa meradlo tepelného toku. Ponúka sa možnosť použiť ho aj na meranie súčiniteľa prechodu tepla izolačných skiel, a to najmä v prípadoch, ak použitie opísaných meradiel nie je možné (napr. farebné sklo, trojsklo, izolačné sklo vo fasáde, ktoré nie je možné vyňať z rámu a pod.).
Použitá metóda a výsledky
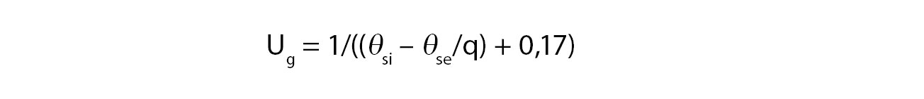
Na náš pokus sa použilo meradlo tepelného toku s obchodným označením Hukseflux s výstupom v milivoltoch, ktoré sa datalogerom LI-19 transformovali na W/m2 (obr. 5). Z tohto výstupu a merania povrchových teplôt sa vypočítal súčiniteľ prechodu tepla podľa vzťahu:

kde Ug je súčiniteľ prechodu tepla izolačného skla vo W/(m2 . K),
θsi, θse – vnútorná a vonkajšia povrchová teplota v K,
q – tepelný tok v W/m2,
0,17 – konštanta (zahŕňa štandardné odpory pri prechode tepla v m2 . K/W)
Ako skúšobné vzorky sa použili zabudované izolačné dvojsklá s deklarovanou skladbou 4-16-4 mm, pričom rozmer 16 mm sa vzťahuje na medzisklovú medzeru a rozmer 4 mm je hrúbka tabule skla. Izolačné sklá boli zabudované v rámoch okien z PVC-U. Pri každej vzorke sa zmerala koncentrácia plynu meradlom podľa obr. 1 a 2. Hrúbka medzisklovej medzery a tabule skla sa overila meradlom podľa obr. 4 v strede viditeľnej šírky izolačného skla. Na snímanie povrchových teplôt sa použili snímače Arexx. Pri spracovaní výsledkov merania sa zohľadnili odchýlky merania získané z kalibračných listov meradiel. Okná boli zvislé, otváravé, so štandardnými rozmermi a s viditeľnými rozmermi skla uvedenými v tab. 1.

Ako dopadli merania?
Najčastejšie spochybňovanou charakteristikou izolačných skiel je hodnota súčiniteľa prechodu tepla. Na reálne zabudovaných izolačných sklách v oknách sa vykonali merania uvedené v tab. 1. Z meraní vyplynula veľmi dobrá zhoda nameraného Ug s koncentráciou argónu. Pre meraný typ izolačného skla je podľa STN EN 673 vypočítaná hodnota 1,1 W/(m2 . K). Táto vypočítaná hodnota platí, ak koncentrácia argónu v izolačnom skle je minimálne 90 ± 5 %. Nami namerané hodnoty (vzorka 1 až 3) sú v tomto rozpätí. Takúto hodnotu (zaokrúhlene) možno dokonca prijať ešte pri koncentrácii plynu 80 % (vzorka č. 4). Pri znižovaní koncentrácie plynu sa preukázal výrazný pokles súčiniteľa prechodu tepla (vzorka č. 5 a 6). Keďže meradlo koncentrácie plynu dokáže preukázať spoľahlivé výsledky len od koncentrácie plynu 40 %, vložila sa do výpočtu podľa EN 673 v programe Calumen II. hodnota pre vzduch (vzorka č. 6). Meranie meradlom tepelného toku túto skutočnosť potvrdilo, v izolačnom skle sa nachádzalo zanedbateľné množstvo argónu.
Pritom sa izolačné sklo montovalo s deklarovanou hodnotou Ug = 1,1 W/(m2 . K). Dnes sa už nedozvieme, či takáto nízka hodnota koncentrácie plynu bola už pri zabudovaní alebo plyn „vyprchal“ počas približne 10 rokov používania. Na vzorkách (2 až 5) sa meraním dosiahli lepšie hodnoty Ug ako výpočtom, napr. podľa Window 6.3 [1]. Takéto výsledky nie sú pri meraní súčiniteľa prechodu tepla častí okien (rámy, sklá) nezvyčajné [4], [5]. Realizovanými overovacími meraniami sa podarilo preukázať vhodnosť metódy merania súčiniteľa prechodu tepla izolačných skiel meradlom tepelného toku na reálnych okenných konštrukciách v zabudovanom stave. V prípade pochybností o deklarovaných hodnotách súčiniteľa prechodu tepla zasklenia možno na preukázanie reálnych hodnôt na stavbe odporučiť meradlá tepelného toku.
Literatura
- Window 6.3 Computer Program for Calculating Thermal Performance of Windows. Lawrence Berkeley Laboratory, 2012.
- Chmúrny, I.: Tepelná ochrana budov. Bratislava: JAGA GROUP, 2003.
- Puškár, A. a kol.: Okná, zasklené steny, dvere, brány. Bratislava: JAGA GROUP, 2008, ISBN 978-80-8076-062-5.
- Panáček, P. – Puškár, A.: Vplyv druhu dreviny na tepelnoizolačné vlastnosti okien. In: DŘEVĚNÁ OKNA, DVEŘE, SCHODY 2012, Sborník přednášek odborného semináře, 2. a 3. 2. 2012, Brno ČR, Mendelova univerzita v Brne, ISBN 978-80-7375-599-7, s. 6.
- Puškár, A. – Panáček, P. – Szabó, D.: Energeticky úsporné drevené okná a kritická povrchová teplota. In: Zborník Odborný seminář „Dřevěná okna, dveře, schody“, Hranice, 2009.
- Pilkington: Das Glas-Habdbuch, Flachglas AG, 1995.
- STN EN 673: 2000: Sklo v stavebníctve. Stanovenie súčiniteľa prechodu tepla (hodnota U). Výpočtová metóda.
- STN EN 674: 2000: Sklo v stavebníctve. Stanovenie súčiniteľa prechodu tepla (hodnota U). Metóda chránenej teplej platne.
- STN EN 675: Sklo v stavebníctve. Stanovenie súčiniteľa prechodu tepla (hodnota U). Metóda meradla tepelného toku.
TEXT: prof. Ing. Ivan Chmúrny, PhD., a prof. Ing. Anton Puškár ,PhD., Stavebná fakulta STU v Bratislave, Ing. Pavol Panáček, PhD., SLOVENERGOokno
FOTO: archív autorov
Článok bol uverejnený v časopise Stavebné Materiály.













