Oporný múr pri mimoúrovňovom krížení v Šenkviciach
Modernizácia železničnej trate Bratislava-Rača – Trnava na návrhovú rýchlosť 160 km/h si, okrem iného, vyžiadala vybudovanie mimoúrovňových krížení železnice s komunikáciami. Jedným z nich je aj novobudovaná mimoúrovňová križovatka v Šenkviciach, v železničnom staničení nžkm 25,340. Stavbu v tomto úseku tvorilo viacero objektov – most, dva oporné múry (prvý oporný múr tvoria kotvené veľkopriemerové pilóty so železobetónovou stužujúcou rímsou v hlave pilótovej steny; druhý oporný múr tvoria oceľové štetovnice), železničná trať a miestna cestná komunikácia III/0619. Článok opisuje konštrukciu prvého oporného múru, spôsob výpočtu (výpočtový model), zmeny a zistenia počas realizácie, ako aj výsledky meraní a ich porovnanie s výpočtovými hodnotami.
Geologické pomeryV záujmovej oblasti sa pre mimoúrovňové kríženie realizovalo sedem geologických vrtov. V tab. 1 sú geologické vrstvy vrtov SO 07-38-04/2 a SO 07-38-04/3. Zo skladby prieskumných vrtov je zrejmé, že geologickú skladbu v mieste kotveného oporného múru tvoria do hĺbky asi 10,0 m íly piesočnaté (CS), pod ktorými sú plastické íly (CH,CI). Tie v hĺbke asi 16 m prechádzajú do veľmi tvrdých ílovcov. Len v dvoch vrtoch zo všetkých zrealizovaných sa nachádzali aj vrstvy pieskov s mocnosťou niekoľko desiatok centimetrov. Na základe výsledkov prieskumných prác sa pri návrhu oporného múru predpokladalo, že vrstvy piesku tvoria uzavreté šošovky, ktoré sú miestami vyplnené podzemnou vodou. Ustálená hladina podzemnej vody zistená prieskumom sa nachádzala niekde na úrovni nivelety komunikácie a navrhlo sa znižovať ju pomocou odvodňovacieho systému cesty.
Tab. 1 Geologické vrty
Projekt
Oporný múr tvoria veľkopriemerové pilóty s priemerom 970 mm z betónu triedy C 25/30 a s rôznymi dĺžkami. Najdlhšie pilóty sú v strednej časti múru. Od stredu smerom ku krajom múru sa dĺžka pilót skracuje. Na hlavách pilót je železobetónová monolitická konzolová rímsa (betón C 25/30), do ktorej sa osadilo zábradlie mestského typu. Oporný múr sa na základe statických výpočtov delí na:
- časti, na ktorých sú pilóty len votknuté,
- úseky, kde sa pilóty kotvia v jednej kotevnej úrovni,
- časti, ktoré sa kotvia v dvoch kotevných úrovniach.
Prvá kotevná úroveň je v hĺbke 1,88 m a druhá v hĺbke 3,76 m pod hornou hranou rímsy. Trvalé zemné kotvy prvej kotevnej úrovne sú zhotovené v sklone 15° a predopnuté na silu 350 kN. Kotvy druhej kotevnej úrovne majú sklon 20° a sú predopnuté na silu 360 kN. Dĺžka jednej kotvy je 16 m, z čoho koreňová časť má dĺžku 8,5 m. Kotevné laná sú trojpramencové. Kotvy sa osadili vo vzájomnej osovej vzdialenosti 1,94 m. Na pilótovú stenu sa kotevné sily prenášajú cez železobetónové roznášacie nosníky (C 30/37). Roznášacie nosníky sa vybetónovali na rovnú plochu, ktorá sa zrealizovala zo striekaného betónu. Striekaný betón vystužený zváranými sieťami vyrovnal nerovnosti na pilótovej stene, ktoré vznikli počas jej realizácie. Rovný povrch vytvorený striekaným betónom sa nakoniec obložil protihlukovými cementotrieskovými tvarovkami, ktoré po natretí farbami modrých odtieňov tvoria definitívnu úpravu oporného múru. Počas výstavby oporný múr zabezpečoval výškový rozdiel asi 8 m medzi niveletou miestnej komunikácie a výkopom pre konštrukčné vrstvy štátnej cesty. Dnes, po uvedení stavby do prevádzky, je maximálny výškový rozdiel medzi niveletami oboch ciest 7,2 m.
Tab. 2 Vlastnosti zemín

Na základe podrobne zrealizovaného inžinierskogeologického prieskumu a na základe vlastností zemín získaných z laboratórnych skúšok, sa pomocou programu PLAXIS V8 urobil statický výpočet konštrukcie. Ako výpočtový model sa použil Hardening-Soil Model (HS), ktorý uvažuje narastanie deformačného modulu zemín v závislosti od hĺbky. Pre ekonomický návrh oporného múru sa vytvorilo a posúdilo deväť priečnych rezov múru. Rez v mieste najväčšieho výkopu, na úseku, kde je oporný múr kotvený v dvoch kotevných úrovniach, sa rozdelil na 24 fáz (dve fázy – počiatočný stav, 19 výpočtových fáz (stavebné postupy) a tri fázy zisťujúce stabilitu posudzovaného rezu). Počiatočný napäťový stav sa určil pomocou metódy Gravity loading. Definitívne návrhy sa overili aj ďalším výpočtovým programom, ako aj jednoduchým ručným kontrolným výpočtom.
Merania
Výstavba oporného múru prebiehala v zložitých geologických pomeroch a neďaleko zástavby rodinných domov. Na overenie správania sa oporného múru a na jeho porovnanie s výpočtovým modelom sa na opornom múre alebo v jeho blízkosti vykonali merania. Merania sa realizovali pomocou týchto meracích zariadení:
- inklinometrické vrty – tesne za rub múru sa osadil jeden inklinometrický vrt s dĺžkou 14 m a za korene kotiev sa osadili ďalšie dva s dĺžkou 15 m. Vo vrtoch sa sledovali horizontálne deformácie pilót, ale aj zemného telesa ako celku;
- zariadenia na meranie predopnutia kotiev a ich dotvarovania – na prvej kotevnej úrovni bolo umiestnených šesť meracích hláv a na druhej kotevnej úrovni štyri meracie zariadenia, pomocou ktorých sa sledovali zmeny predpínacích síl.
V priebehu celej realizácie oporného múru sa v jednotlivých fázach výstavby pozorne sledovali deformácie objektu – pilótovej steny a zemného telesa. Merania sa vyhodnotili a okamžite sa poslali projektantovi, ktorý ich porovnával s výpočtovými hodnotami. Pre možnosť prekročenia niektorých výpočtových hodnôt počas realizácie projektant do vykonávacieho projektu zapracoval rôzne alternatívne opatrenia, ako v konkrétnych prípadoch ďalej pokračovať a riešiť vzniknutý problém (risk management).
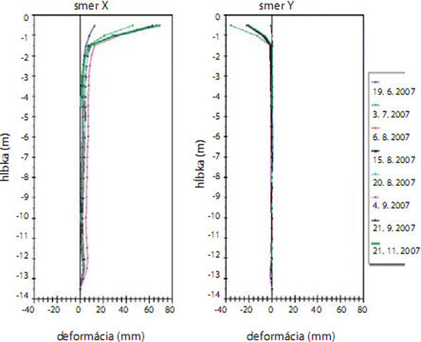
Inklinometrické meranie podpovrchových deformácii (integrovaný priebeh)
Realizácia
Výstavba oporného múru sa začala podľa postupu daného vykonávacím projektom. Po terénnych úpravách sa ako prvé vybudovali pilóty a železobetónová rímsa. Keď betón rímsy vytvrdol, začali sa výkopové práce pred lícom múru. Prvá úroveň výkopových prác sa ukončila tesne pod prvou úrovňou kotvenia. Od tohto momentu sa začalo s meraniami posunov zemín v inklinometrických vrtoch. Harmonogram meraní bol presne dohodnutý s dodávateľom stavby a zosúladený s harmonogramom prác na objekte. Taktiež sa dopredu dohodla metodika, ako treba postupovať v prípade prekročenia limitných horizontálnych posunov.
![]() |
![]() |
Hneď po vyhodnotení meraní sa výsledky poslali projektantovi na posúdenie a overenie výpočtových hodnôt. Po vyhodnotení výsledkov projektant zhotoviteľovi objektu oznámil, či je možné pracovať na objekte podľa pôvodného harmonogramu, alebo či je potrebné v ňom prijať zmeny. Keďže zmeny v harmonograme prác nenastali, po výkopových prácach sa podľa plánu mohlo pristúpiť k realizácii kotiev a roznášacích nosníkov prvej kotevnej úrovne. Z dôvodu skrátenia času výstavby si dodávateľ vyžiadal preverenie, či môže kotvy predpínať už po 15 dňoch od betonáže roznášacích nosníkov. Pri každej betonáži nosníkov sa preto odoberali skúšobné vzorky, ktoré sa podrobili laboratórnym skúškam. Po predopnutí kotiev v prvej kotevnej úrovni sa postupovalo vo výkopových prácach na druhú kotevnú úroveň. Postup realizácie kotiev a roznášacích nosníkov bol totožný s postupmi v prvej kotevnej úrovni. Počas výkopových prác pod prvou úrovňou kotvenia sa pod prvým radom kotiev začali objavovať veľmi jemné priesaky podzemnej vody, ktoré prenikali cez styky medzi pilótami a neustávali. Tento jav bol zaujímavý, pretože prieskumné vrty nepreukázali súvislú vrstvu zvodnených pieskov v záujmovej lokalite (predpokladali sa nenasycované polohy, teda len polohy s nahromadenou podzemnou vodou). Predpokladaným dôvodom prítomnosti podzemnej vody v inej úrovni, ako sa zistilo prieskumom, je výskyt zvodnených piesočnatých vrstiev, ktoré sú na základe skúsenosti z realizácie poprepájané do jednej súvislej vodou nasycovanej vrstvy. Na odvodnenie podzemných vôd z rubu múru sa dodatočne medzi styky pilót navŕtali krátke horizontálne vrty napojené na vertikálne zvody, ktoré sa zastriekali striekaným betónom. Vertikálne zvody sú napojené do drenážneho systému komunikácie. Definitívny odkop pre konštrukčné vrstvy vozovky sa mohol vykonať až po predopnutí všetkých kotiev v oboch kotevných úrovniach.
![]() |
![]() |
| Výstup z Plaxisu – horizontálne deformácie | Výstup z Plaxisu – vertikálne deformácie |
Záver
Použitím výpočtového programu sa mohli optimalizovať sklony kotiev, sily potrebné na ich predopnutie a dokonca odstrániť aj celú jednu kotevnú úroveň z predchádzajúceho stupňa dokumentácie (v jednom úseku sa pôvodne navrhli tri úrovne kotvenia). Po zrealizovaní objektu a na základe priebežne vyhodnocovaných meraní v jednotlivých fázach výstavby možno povedať, že zvolený výpočtový program a použitý výpočtový model (HS) s príslušnými parametrami zemín dal veľmi presné informácie o správaní sa oporného múru počas realizácie. Na porovnanie, maximálne horizontále deformácie získané z výpočtového programu tesne za rubom múru sú 21 mm a maximálne namerané deformácie približne v tom istom mieste 13 mm (merania ešte nie sú ukončené). Počas realizácie sa deformácie pohybovali v predpokladaných toleranciách a nebolo potrebné riešiť žiadne sanačné opatrenia.
TEXT: Ing. Roman Kezman
FOTO A OBRÁZKY: PRODEX, s. r. o.
Autor je projektantom geotechniky v spoločnosti PRODEX, s. r. o.
Clánok bol uverejnený v časopise Inžinierske stavby/Inženýrské stavby.


















