Skúšky potrubia pri výstavbe a obnove budov
Pred uvedením vodovodného potrubia, ktorým sa bude privádzať pitná voda do budovy, do prevádzky treba vykonať vhodnú tlakovú skúšku a potrubie vydezinfikovať. Ak ide o už existujúce potrubie po obnove, vnútro potrubia sa zároveň musí očistiť od nečistôt a usadenín.
Tlaková skúška vodovodných potrubí patrí medzi dokončovacie technologické procesy pri výstavbe vodovodných potrubí. Jej správne vykonanie a spracovanie protokolu o vykonaní tlakovej skúšky sú súčasťou preberacieho konania a uvádzajú sa v dokladovej časti kolaudácie.
Skúšanie vodovodných potrubí
Po uložení a zmontovaní musí byť každé vodovodné potrubie odskúšané tlakovou skúškou podľa STN EN 805. Skúšky potrubí s podtlakovým režimom (násosiek) a skúšky po opravách a prepojeniach nových potrubí na existujúce potrubie sa v SR vykonávajú podľa STN 75 5911. Pred vykonaním tlakovej skúšky sa treba presvedčiť o celkovom stave potrubia, najmä o čistote vnútra potrubia, skontrolovať spoje, stabilitu potrubia a odporúča sa urobiť kontrolu priechodnosti potrubia. Zistené nečistoty sa musia odstrániť.
Tlaková skúška potrubia je skúška vodovodného potrubia skúšobným pretlakom, vykonávaná na zistenie vodotesnosti potrubia a odolnosti proti vnútornému pretlaku. Pred vykonaním tlakovej skúšky sa musí skontrolovať, či je skúšobné zariadenie kalibrované a správne namontované na potrubie. Pozornosť sa musí venovať dostatočnému zakotveniu viek a iných dočasných zaslepovacích tvaroviek zaťažením rozloženým v súlade s pevnosťou opornej zeminy.
Všetky dočasné opory alebo zakotvenia koncov skúšobného úseku sa nesmú odstrániť až do odstránenia tlaku v potrubí. Všetci pracovníci musia byť dopredu informovaní o veľkosti zaťaženia pomocných tvaroviek a podpier a o následkoch v prípade ich porušenia. Tlak v potrubí sa musí znižovať pomaly a pri vyprázdňovaní musia byť všetky odvzdušňovacie zariadenia otvorené.
Tlaková skúška pre novonavrhované potrubia je stanovená projektantom a navrhovaná podľa STN EN 805 v týchto troch krokoch:
- predbežná skúška,
- skúška poklesu tlaku,
- hlavná tlaková skúška.
Predbežná skúška
Predbežná skúška je určená na stabilizovanie skúšaného úseku potrubia umožnením väčšiny časovo závislých pohybov, dosiahnutie primeraného nasýtenia vodou pri použití nasiakavých materiálov a umožnenie zväčšenia objemu pružných rúr vplyvom tlaku pred hlavnou skúškou. Potrubie sa musí rozdeliť na vhodné skúšobné úseky, úplne naplniť vodou a odvzdušniť, tlak sa musí zvýšiť najmenej na prevádzkový tlak bez prekročenia skúšobného tlaku systému.
Skúšobné úseky sa vyberú tak, že:
- skúšobný tlak sa môže dosiahnuť v najnižšom mieste každého skúšobného úseku,
- tlak, najmenej najvyšší návrhový pretlak (MPD) sa môže dosiahnuť v najvyššom mieste skúšobného úseku, ak projektant nestanoví inak,
- voda potrebná na skúšku sa môže zaobstarať a odstrániť bez ťažkostí.
Čas trvania predbežnej skúšky stanovuje projektant v závislosti od materiálu. Ak sa ukážu neprípustné zmeny polohy akejkoľvek časti potrubia alebo netesnosti, musí sa tlak odstrániť a chyby opraviť. Skúška poklesu tlaku umožňuje posúdiť zostatkový objem vzduchu v potrubí. Prítomnosť vzduchu znižuje presnosť skúšania úbytku tlaku vody.
Skúška poklesu tlaku
Skúška poklesu tlaku umožňuje posúdiť zostatkový objem vzduchu v potrubí. Vzduch v skúšobnom úseku sa prejaví v nepresnom údaji, ktorý by mal indikovať zrejmú netesnosť alebo by v niektorých prípadoch mohol maskovať malú netesnosť. Prítomnosť vzduchu znižuje presnosť skúšania úbytku tlaku a vody. Projektant musí stanoviť, ako sa má skúška poklesu tlaku vykonať.
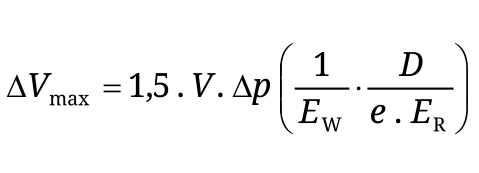
Tlak v potrubí sa zvýši na skúšobný tlak, pričom sa dbá na úplné odvzdušnenie skúšobného zariadenia. Z potrubia sa vypustí merateľný objem vody ΔV a zmeria sa z toho vyplývajúci pokles tlaku Δp. Objem vypustenej vody ΔV sa porovná s prípustnou stratou vody ΔVmax zodpovedajúcou nameranému poklesu tlaku Δp. Prípustná strata vody sa vypočíta pomocou tohto vzorca:
|  | 
kde ΔVmax je prípustná strata vody (l)
V – objem skúšobného úseku potrubia (l)
 Δp – nameraný úbytok tlaku (kPa)
 EW – modul objemovej pružnosti vody (kPa)
 D – vnútorný priemer rúry (m)
 e – hrúbka steny rúry (m)
 ER – modul pružnosti steny rúry v obvodovom smere (kPa)
 1,5 – opravný koeficient pre prípustný obsah vzduchu pred hlavnou tlakovou skúškou
Hlavná tlaková skúška
Hlavná tlaková skúška sa nesmie začať, kým predbežná skúška a stanovená skúška poklesu tlaku nie sú úplne dokončené, pokiaľ ich stanovil projektant. Hlavná tlaková skúška sa vykonáva podľa dvoch metód, z ktorých projektant stanoví, ktorá sa použije:
- metóda úbytku vody, t. j. meranie vypusteného objemu alebo meranie načerpaného objemu,
- metóda úbytku tlaku, kde sa tlak rovnomerne zvyšuje až do dosiahnutia skúšobného tlaku systému.
Metóda úbytku vody
Použiť sa môžu dve rovnocenné metódy merania úbytku vody, t. j. meranie vypusteného objemu alebo meranie načerpaného objemu. Pri metóde vypusteného objemu sa tlak rovnomerne zvyšuje až do dosiahnutia skúšobného tlaku systému (STP), ktorý sa udržiava čerpaním, ak je to potrebné, počas najmenej jednej hodiny. Čerpadlo sa odpojí a počas trvania skúšky jednu hodinu alebo dlhší čas (ak to stanoví projektant) sa do potrubia nesmie pridávať žiadna ďalšia voda.
Po uplynutí skúšobného času sa zmeria zníženie tlaku, potom sa čerpaním obnoví STP a odmeria množstvo vypustenej vody až do opätovného zníženia tlaku na úroveň dosiahnutú na konci skúšky. Pri druhej metóde – meraní načerpaného objemu – sa tlak rovnomerne zvyšuje až do dosiahnutia skúšobného tlaku systému (STP), ktorý sa udržiava počas trvania skúšky najmenej jednu hodinu alebo dlhšie, ak to stanoví projektant. Počas tohto skúšobného času sa vhodným zariadením meria a zaznamenáva dočerpané množstvo vody potrebné na udržiavanie STP. Projektant musí stanoviť, ktorá metóda sa použije.
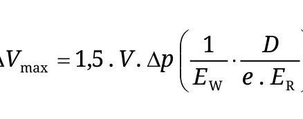
Nameraný úbytok vody na konci prvej hodiny skúšobného času nesmie prekročiť hodnotu vypočítanú pomocou tohto vzorca:
|  | 
kde ΔVmax je dovolený úbytok vody (l)
V – objem skúšobného úseku potrubia (l)
 Δp – dovolený úbytok tlaku (kPa)
 Ew – modul objemovej pružnosti vody (kPa)
 D – vnútorný priemer rúry (m)
 e – hrúbka steny (m)
 ER – modul pružnosti rúry v obvodovom smere (kPa)
 1,2 – opravný koeficient (napr. pre obsah vzduchu) počas hlavnej tlakovej skúšky
Metóda úbytku tlaku
Tlak sa rovnomerne zvyšuje až do dosiahnutia skúšobného tlaku systému (STP). Čas trvania skúšky úbytku tlaku je jedna hodina alebo dlhší, ak stanoví projektant. Počas hlavnej tlakovej skúšky musí úbytok tlaku Δp prejavovať klesajúcu tendenciu a na konci prvej hodiny nesmie prekročiť tieto hodnoty:
- 20 kPa na rúry z tvárnej liatiny s výstelkou alebo bez výstelky z cementovej malty, oceľové rúry s výstelkou alebo bez výstelky z cementovej malty, betónové rúry s oceľovým plášťom, rúry z plastov,
- 40 kPa na rúry z vláknocementu a betónové rúry bez oceľového plášťa. Na rúry z vláknocementu sa môže úbytok tlaku zvýšiť zo 40 na 60 kPa, ak je projektant presvedčený, že existujú podmienky na nadmernú adsorpciu.
Na rúry s viskózno-elastickým správaním (polyetylénové rúry), ktorých vodotesnosť sa nemôže počas tejto skúšky v primeranom čase overiť, sa alternatívne musí overiť osobitne. Alternatívna skúšobná metóda je založená na skutočnosti, že v rámci hlavnej tlakovej skúšky sa dostatočne nezohľadňuje charakteristické tesnenie. V tomto prípade sa – iba na kontrolu konštrukčnej celistvosti – STP počas stanoveného času obnovuje v pravidelných intervaloch a úbytok tlaku musí vykazovať klesajúcu tendenciu. Ak úbytok prekročí stanovenú hodnotu alebo ak sa zistia chyby, systém sa musí prezrieť a podľa potreby opraviť. Skúška sa opakuje, až kým úbytok nevyhovuje stanovenej hodnote.
Ak bolo potrubie na vykonanie tlakových skúšok rozdelené na dva alebo viacero úsekov a všetky úseky sa mali primerane odskúšať, musí sa celý systém (ak to stanoví projektant) zaťažiť najmenej počas dvoch hodín prevádzkovým tlakom. Všetky doplnkové súčasti, ktoré sa začlenili do priľahlých úsekov po tlakovej skúške, sa musia vizuálne prezrieť kvôli netesnostiam a zmenám polohy uloženia v horizontálnom a vertikálnom smere.
Tlaková skúška pre potrubia s podtlakovým režimom (násosky) a skúšky po opravách a prepojeniach nových potrubí na existujúce potrubie sa vykonávajú v SR podľa STN 75 5911 a delia sa na:
- úsekovú – je to skúška úseku potrubia skúšobným pretlakom, ktorá preukazuje odolnosť proti vnútornému pretlaku a vodotesnosť potrubia,
- celkovú – skúška súvislého prevádzkového celku potrubia vytvoreného spojením potrubí, ktoré už boli jednotlivo vyskúšané tlakovými skúškami.
Úseková skúška
Táto skúška preukazuje, že prepojenie úsekov do súvislého prevádzkového celku je kvalitné. Pred odovzdaním potrubia do prevádzky sa musí vykonať kontrola kvality a pripravenosti na budúcu prevádzku z hľadiska jeho pevnosti a vodotesnosti. Potrubie sa skúša pretlakom vody. Skúška pretlakom vzduchom je povolená len na jeho predbežné vyskúšanie.
Dĺžka skúšaného úseku pri úsekovej tlakovej skúške závisí od miestnych a výškových pomerov a skúšaného potrubného materiálu. Pri priemeroch do DN 150 mm na rozvodnej sieti je maximálna dĺžka väčšinou 500 m a v ostatných prípadoch 1 000 m. Rozdiel hydrostatických pretlakov vnútri potrubia medzi najvyšším a najnižším miestom skúšaného úseku nemá byť väčší ako 0,2 MPa.
Počas prípravy a priebehu úsekovej tlakovej skúšky musia byť povrch potrubia a spoje viditeľné. Ak je zo statických dôvodov potrebný čiastkový obsyp potrubia, spoje musia zostať voľné. Ak konštrukčný návrh blokov vyžaduje zabetónovanie niektorých spojov, musí sa spoj zabetónovať podľa návrhu. Podzemnú alebo inú vodu treba z výkopu odvádzať.
Zvyšovanie pretlaku má byť postupné a zodpovedajúce materiálu potrubia. Na udržiavanie pretlaku v potrubí pred začatím skúšky sa voda dočerpáva každé dve hodiny až dovtedy, kým sa neukážu len nepatrné zmeny.
Úseková tlaková skúška sa delí na:
- kontrolu pevnosti a vodotesnosti, ktorá sa vykonáva tak, že po zvýšení pretlaku na hodnotu skúšobného pretlaku sa čerpanie preruší na 15 minút a za tento čas sa kontroluje pokles pretlaku,
- prehliadku, pri ktorej sa zvýši pretlak na hodnotu skúšobného pretlaku, ktorý sa udržiava počas trvania prehliadky skúšaného úseku, v trvaní minimálne 30 minút,
- skúšku pevnosti a vodotesnosti, keď sa pretlak upraví na predpísanú hodnotu skúšobného pretlaku, čerpanie sa preruší na 15 minút a kontroluje sa pokles pretlaku za tento čas. Toto meranie je rozhodujúce na vyhodnotenie tlakovej skúšky.
Potrubie z hľadiska pevnosti a vodotesnosti vyhovuje skúške, ak pokles skúšobného pretlaku za posledných 15 minút nie je väčší ako 0,02 MPa. Počas skúšky nesmie byť zistený viditeľný únik vody.
Celková tlaková skúška
Počas prípravy a priebehu celkovej tlakovej skúšky musí byť potrubie stabilizovane zasypané okrem všetkých prepojení a zariadení, ktoré neboli skúšané úsekovou tlakovou skúškou. Tie musia byť viditeľné, nezasypané a skontrolovateľné. Podzemná voda sa musí z výkopu odvádzať. Počas prípravy na celkovú tlakovú skúšku sa musia namontovať všetky uzávery, hydranty, vzdušníky, kalozvody a iné armatúry, tvarovky spájajúce potrubia a zabezpečenie proti vybočeniu. Potrubie a armatúry musia byť odvzdušnené, všetky uzávery okrem koncových otvorené.
Trvanie celkovej tlakovej skúšky je 8 hodín. V prevádzkovom celku sa zvýši pretlak na hodnotu najvyššieho dovoleného pretlaku a kontroluje sa jeho pokles. Potrubie z hľadiska pevnosti a vodotesnosti vyhovuje skúške, ak po 8 hodinách nepoklesne pretlak pod hodnotu 0,9 ppmax. V najvyššom mieste potrubia musí byť pretlak aspoň 0,2 MPa. Pri celkovej tlakovej skúške oceľového zváraného potrubia s veľkou dĺžkou môže byť dĺžka skúšaného úseku maximálne 5 000 m.
Vodovodný privádzač skúšaný po úsekoch sa musí vyskúšať ako celok. Táto skúška sa nazýva kontrolnou alebo prevádzkovou skúškou. Skúška sa robí skúšobným tlakom, ktorý sa rovná pracovnému tlaku, a trvá 12 hodín.
Vodovodné potrubia sa majú pri tlakovej skúške po prvýkrát vydezinfikovať chlórom v koncentrácii minimálne 50 mg Cl/l vody. Podľa stupňa znečistenia sa môže objem chlóru zvýšiť až na množstvo 150 mg/l vody. Vyhovujúca tlaková skúška je základom uvedenia do prevádzky vybudovaných vodovodných potrubí, ktoré zabezpečujú dodávku kvalitnej pitnej vody.
Text: doc. Ing. Michal Božík, PhD., doc. Ing. Jarmila Božíková, PhD.
Katedra technológie stavieb a Katedra zdravotného a environmentálneho inžinierstva, Stavebná fakulta STU v Bratislave
Ilustračné foto: Miro Pochyba
Literatúra
- Kriš, J. a kol.: Vodárenstvo I. Vyd. STU Bratislava, 2006, s. 816, ISBN 80-227-2426-2.
- STN EN 805: 2001: Vodárenstvo. Požiadavky na systémy a súčasti vodovodov mimo budov.
- STN 75 5911: 1995: Tlakové skúšky vodovodného a závlahového potrubia.
- Peráčková, J. a kol.: TZB I., Zdravotná technika. Vydavateľstvo ES STU Bratislava, 2004, s. 312, ISBN 80-227-2035-6.
- Božík, M. – Božíková, J.: Návrh a technológia výstavby inžinierskych sietí. Vodovody a kanalizácie. Vydavateľstvo Tribun EU, 2016.
Článok bol uverejnený v časopise Správa budov 4/2017.
 
													





 
					 
					 
					 
					 
					 
					 
					 
					 
					 
					 
					 
					 
					 
					 
					 
					 
					 
					 
					 
								 
								 
								 
								 
								